函式內容
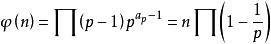
歐拉函式通式:
其中p1, p2……pn為x的所有質因數,x是不為0的整數。
φ(1)=1(和1互質的數(小於等於1)就是1本身)。
注意:每種質因數隻一個。 比如12=2*2*3那么φ(12)=φ(4*3)=φ(2^2*3^1)=(2^2-2^1)*(3^1-3^0)=4
歐拉函式若n是質數p的k次冪,,因為除了p的倍數外,其他數都跟n互質。
設n為正整數,以 φ(n)表示不超過n且與n互素的正整數的個數,稱為n的歐拉函式值
φ:N→N,n→φ(n)稱為歐拉函式。
歐拉函式歐拉函式是積性函式——若m,n互質,
歐拉函式特殊性質:當n為質數時,, 證明與上述類似。
歐拉函式若n為質數則
證明
設A, B, C是跟m, n, mn互質的數的集,據中國剩餘定理,A*B和C可建立一一對應的關係。因此φ(n)的值使用算術基本定理便知,
歐拉函式若
歐拉函式則
歐拉函式例如
與歐拉定理、費馬小定理的關係
對任何兩個互質的正整數a, m(m>=2)有
歐拉函式即歐拉定理
當m是質數p時,此式則為:
歐拉函式即費馬小定理。
編程實現
利用歐拉函式和它本身不同質因數的關係,用篩法計算出某個範圍內所有數的歐拉函式值。
歐拉函式和它本身不同質因數的關係:
歐拉函式歐拉函式ψ(N)=N{∏p|N}(1-1/p)
歐拉函式亦即:(P是數N的質因數)
如:
ψ(10)=10×(1-1/2)×(1-1/5)=4;
ψ(30)=30×(1-1/2)×(1-1/3)×(1-1/5)=8;
歐拉函式ψ(49)=49×(1-1/7)==42。
C++版
pascal版
C語言
Java語言
C#語言
函式表
| φ(n) | 0 | 1 | 2 | 3 | 4 | 5 | 6 | 7 | 8 | 9 |
| 0? | 0 | 1 | 1 | 2 | 2 | 4 | 2 | 6 | 4 | 6 |
| 1? | 4 | 10 | 4 | 12 | 6 | 8 | 8 | 16 | 6 | 18 |
| 2? | 8 | 12 | 10 | 22 | 8 | 20 | 12 | 18 | 12 | 28 |
| 3? | 8 | 30 | 16 | 20 | 16 | 24 | 12 | 36 | 18 | 24 |
| 4? | 16 | 40 | 12 | 42 | 20 | 24 | 22 | 46 | 16 | 42 |
| 5? | 20 | 32 | 24 | 52 | 18 | 40 | 24 | 36 | 28 | 58 |
| 6? | 16 | 60 | 30 | 36 | 32 | 48 | 20 | 66 | 32 | 44 |
| 7? | 24 | 70 | 24 | 72 | 36 | 40 | 36 | 60 | 24 | 78 |
| 8? | 32 | 54 | 40 | 82 | 24 | 64 | 42 | 56 | 40 | 88 |
| 9? | 24 | 72 | 44 | 60 | 46 | 72 | 32 | 96 | 42 | 60 |
φ(100)=40

