公式
d=√(1+k^2)|x1-x2|=√(1+k^2)[(x1+x2)^2-4x1x2]=√(1+1/k^2)|y1-y2|=√(1+1/k^2)[(y1+y2)^2-4y1y2]
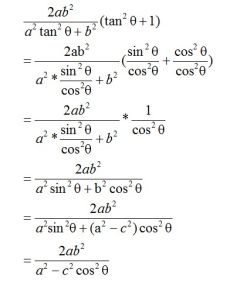
若直線過焦點並知道傾斜角,則還可以d=2ep/(1-e^2cosa*cosa)。
釋義
橢圓弦長公式推導
設直線y=kx+b代入橢圓的方程可得:x²/a²+(kx+b)²/b²=1,設兩交點為A、B,點A為(x1,y1),點B為(x2,y2)則有AB=√[(x1-x2)²+(y1-y2)²],把y1=kx1+b.y2=kx2+b分別代入,則有:AB=√[(x1-x2)²+(kx1-kx2)²=√[(x1-x2)²+k²(x1-x2)²]=│x1-x2│√(1+k²)同理可以證明:弦長=│y1-y2│√[(1/k²)+1][1]。
另外
此公式適用於所有圓錐曲線包括圓橢圓雙曲線和拋物線。橢圓:
(1)焦點弦:A(x1,y1),B(x2,y2),AB為橢圓的焦點弦,M(x,y)為AB中點,則L=2a±2ex。
(2)設直線;與橢圓交於P1(x1,y1),P2(x2,y2),且P1P2斜率為K,則|P1P2|=|x1-x2|√(1+K²)或|P1P2|=|y1-y2|√(1+1/K²)。
(1)焦點弦:A(x1,y1),B(x2,y2),AB為雙曲線的焦點弦,M(x,y)為AB中點,則L=-2a±2ex。
(2)設直線;與雙曲線交於P1(x1,y1),P2(x2,y2),且P1P2斜率為K,則|P1P2|=|x1-x2|√(1+K²)或|P1P2|=|y1-y2|√(1+1/K²){K=(y2-y2)/(x2-x1)}。
拋物線:
1、焦點弦:已知拋物線y²=2px,A(x1,y1),B(x2,y2),AB為拋物線的焦點弦,則|AB|=x1+x2+p或|AB|=2p/(sin²H){H為弦AB的傾斜角}。
2、設直線;與拋物線交於P1(x1,y1),P2(x2,y2),且P1P2斜率為K,則|P1P2|=|x1-x2|√(1+K²)或|P1P2|=|y1-y2|√(1+1/K²){K=(y2-y2)/(x2-x1)}。
延伸
橢圓弦長公式此公式適用於所有圓錐曲線包括圓橢圓雙曲線和拋物線。
橢圓
(1)焦點弦:A(x1,y1),B(x2,y2),AB為橢圓的焦點弦,M(x,y)為AB中點,則L=2a±2ex。
(2)設直線;與橢圓交於P1(x1,y1),P2(x2,y2),且P1P2斜率為K,則|P1P2|=|x1-x2|√(1+K²)或|P1P2|=|y1-y2|√(1+1/K²)。
雙曲線
(1)焦點弦:A(x1,y1),B(x2,y2),AB為雙曲線的焦點弦,M(x,y)為AB中點,則L=-2a±2ex。
(2)設直線;與雙曲線交於P1(x1,y1),P2(x2,y2),且P1P2斜率為K,則同上{K=(y2-y1)/(x2-x1)}。
拋物線
(1)焦點弦:已知拋物線y²=2px,A(x1,y1),B(x2,y2),AB為拋物線的焦點弦,則|AB|=x1+x2+p或|AB|=2p/(sin²H){H為弦AB的傾斜角}
(2)設直線;與拋物線交於P1(x1,y1),P2(x2,y2),且P1P2斜率為K,則同上。

