簡介
李導數(Lie derivative)是一種對流形 M上的張量場,向量場或函式沿著某個向量場的求導運算,以索甫斯·李命名。 所有李導數組成的向量空間對應於如下的李括弧構成一個無限維李代數。
李導數李導數用向量場表示,這些向量場可看作 M上的流(flow, 也就是時變微分同胚)的無窮小生成元。從另一角度看, M上的微分同胚組成的群,有其對應的李導數的李代數結構,在某種意義上和李群理論直接相關 。
李導數有幾種等價的定義。在本節,為簡便起見,我們用標量場和向量場的李導數的定義開始。
定義
李導數
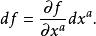
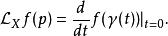
李導數李導數的定義可以從函式的微分開始。這樣,給定一個函式 和一個 M上的向量場 X, f在點 的李導數定義為
李導數
李導數
李導數其中 是 f的微分。也就是, 是由下式給出的[1-形式]:
李導數
李導數
李導數
李導數這裡, 是餘切叢 的基向量。這樣,記號 表示取 f(在 M中的點 p)的微分和向量場 X(在點 p)的內積。
李導數
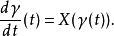
李導數或者,可以先表明 M上的光滑向量場 X定義了一個 M上的單參數曲線族。也就是,可以表明存在曲線在 M上使得
李導數
李導數其中 對於所有 M中的點 p成立。這個一階常微分方程的解的存在性由皮卡-林德洛夫定理給出(更一般的,這種曲線的存在性是弗羅貝尼烏斯定理給出)。然後可以定義 李導數為
李導數
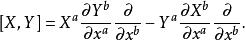
李導數第三個可能的定義可以通過先定義一對向量場的李括弧給出。首先注意到切空間的基向量可以寫為 ,所以一個向量場,用一組選定的基向量可以表示為
李導數
李導數定義 李括弧為
李導數然後定義向量場 Y的李導數等於 X和 Y的李導數,也就是,
李導數
李導數根據上面任選的一個定義,其他的定義可被證明為其等價形式。 例如,可以證明,對於一個可微函式 f, 並且
李導數
李導數我們用在1-形式 上的李導數的定義來結叢本節: .
性質
李導數
李導數
李導數
李導數
李導數李導數有一些屬性。令 為流形 M上的函式組成的代數。則 是一個在代數 上的導數。也就是, 是 R-線性的,並且 。
李導數
李導數類似的,它是 上的一個導數,其中 是 M上的向量場的集合:
李導數也可寫為等價形式
李導數
李導數其中張量積符號 用於強調函式和向量場的積在整個流形上取。另外的性質和李括弧的一致。所以,例如,作為向量場的導數,
李導數容易發現上面就是雅可比恆等式。這樣,就可以得到“裝備了李括弧的 M上的向量空間是李代數"的重要結果 。
和外導數的關係、微分形式的李導數
李導數和外導數密切相關,因此和埃里·嘉當的微分流形理論相關。 兩個都試圖給出導數的思想,其差別幾乎只是記號上的。這個區別可以通過引入 反導數或等效的內積來消除。 這之後,兩者的關係就體現在一組恆等式上。
李導數令 M為一個流形, X為 M上一個向量場。令 為一 k+1-形式。 X和ω的 內積為
李導數
李導數
李導數
李導數注意, 是 -反導數。也就是,是 R-線性的,並且 。
李導數
李導數
李導數對於 和另一個微分形式η成立。另外,對於一個函式 ,那是一個實或復值 的 M上的函式,有
外導數和 李導數的關係可以總結為以下這些。對於一般函式 f,李導數就是外導數和向量場的內積:
李導數對於一般的微分流形,李導數類似於內積,加上 X的變化:
李導數當ω為1-形式,上述恆等式經常寫作
李導數導數的乘積是可分配的
李導數張量場的李導數
李導數
李導數
李導數
李導數
李導數
李導數
李導數
李導數
李導數
李導數
李導數
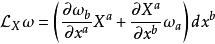
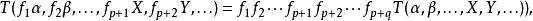
李導數在微分幾何中,如果我們有一個 階可微張量場(我們可以把它當作餘切叢 的光滑截面 和切叢 的截面 的線性映射 ),使得對於任何函式 有 而且如果進一步有一個可微向量場(也就是切叢的一個光滑截面) ,則線性映射獨立於聯絡∇;只要它是無撓率的,事實上,這個映射是一個張量。這個張量稱為 關於 的 李導數。
李導數
李導數
李導數
李導數換句話說,如果你有一個張量場 和一個由向量場 給出的微分同胚的無窮小生成元,則 就是 在這個無窮小微分同胚下的無窮小變化。
李導數
李導數
李導數
李導數
李導數
李導數或者,給定向向量場 ,令ψ為 的積分曲線族,向上面那樣。注意ψ是一個局部單參數局部微分同胚群。令 為由ψ誘導的拉回。則張量 在 點的李導數如下
