簡介
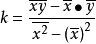
最小二乘法公式
最小二乘法公式
最小二乘法公式設擬合直線的公式為,
最小二乘法公式
最小二乘法公式其中:擬合直線的斜率為:;計算出斜率後,根據和已經確定的斜率k,利用待定係數法求出截距b。
推導過程
在我們研究兩個變數(x, y)之間的相互關係時,通常可以得到一系列成對的數據(x1, y1),(x2, y2).. (xm , ym);將這些數據描繪在x -y直角坐標系中(如圖1), 若發現這些點在一條直線附近,可以令這條直線方程如(式1-1)。
Y計= a0 + a1 X (式1-1)
其中:a0、a1 是任意實數
為建立這直線方程就要確定a0和a1,套用《最小二乘法原理》,將實測值Yi與利用(式1-1)計算值(Y計=a0+a1X)的離差(Yi-Y計)的平方和〔∑(Yi - Y計)²〕最小為“最佳化判據”。
令: φ = ∑(Yi - Y計)² (式1-2)
把(式1-1)代入(式1-2)中得:
φ = ∑(Yi - a0 - a1 Xi)2 (式1-3)
當∑(Yi-Y計)²最小時,可用函式 φ 對a0、a1求偏導數,令這兩個偏導數等於零。
(式1-4)
(式1-5)
亦即
m a0 + (∑Xi ) a1 = ∑Yi (式1-6)
(∑Xi ) a0 + (∑Xi2 ) a1 = ∑(Xi, Yi) (式1-7)
得到的兩個關於a0、 a1為未知數的兩個方程組,解這兩個方程組得出:
a0 = (∑Yi) / m - a1(∑Xi) / m (式1-8)
a1 = [∑Xi Yi - (∑Xi ∑Yi)/ m] / [∑Xi2 - (∑Xi)2 / m)] (式1-9)
這時把a0、a1代入(式1-1)中, 此時的(式1-1)就是我們回歸的元線性方程即:數學模型。
在回歸過程中,回歸的關聯式是不可能全部通過每個回歸數據點(x1, y1、 x2, y2...xm,ym),為了判斷關聯式的好壞,可藉助相關係數“R”,統計量“F”,剩餘標準偏差“S”進行判斷;“R”越趨近於 1 越好;“F”的絕對值越大越好;“S”越趨近於 0 越好。
R = [∑XiYi - m (∑Xi / m)(∑Yi / m)]/ SQR{[∑Xi2 - m (∑Xi / m)2][∑Yi2 - m (∑Yi / m)2]} (式1-10) *
在(式1-1)中,m為樣本容量,即實驗次數;Xi、Yi分別任意一組實驗X、Y的數值。微積分套用課題一 最小二乘法
從前面的學習中, 我們知道最小二乘法可以用來處理一組數據, 可以從一組測定的數據中尋求變數之間的依賴關係, 這種函式關係稱為經驗公式. 本課題將介紹最小二乘法的精確定義及如何尋求 與 之間近似成線性關係時的經驗公式. 假定實驗測得變數之間的 個數據 , , …, , 則在 平面上, 可以得到 個點 , 這種圖形稱為“散點圖”, 從圖中可以粗略看出這些點大致散落在某直線近旁, 我們認為 與 之間近似為一線性函式, 下面介紹求解步驟.
考慮函式, 其中 和 是待定常數. 如果 在一直線上, 可以認為變數之間的關係為 . 但一般說來, 這些點不可能在同一直線上. 記 , 它反映了用直線 來描述 , 時, 計算值 與實際值 產生的偏差. 當然要求偏差越小越好, 但由於 可正可負, 因此不能認為總偏差 時, 函式 就很好地反映了變數之間的關係, 因為此時每個偏差的絕對值可能很大. 為了改進這一缺陷, 就考慮用 來代替 . 但是由於絕對值不易作解析運算, 因此, 進一步用 來度量總偏差. 因偏差的平方和最小可以保證每個偏差都不會很大. 於是問題歸結為確定 中的常數 和 , 使 為最小. 用這種方法確定係數, 的方法稱為最小二乘法.
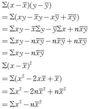
由極值原理得 , 即
解此聯立方程得
(*)
問題 I 為研究某一化學反應過程中, 溫度 ℃)對產品得率 (%)的影響, 測得數據如下:
溫度 ℃)
100 110 120 130 140 150 160 170 180 190
得率 (%)
45 51 54 61 66 70 74 78 85 89
(1) 利用“ListPlot”函式, 繪出數據 的散點圖(採用格式: ListPlot[{ , , …, }, Prolog->AbsolutePointSize[3]] );
(2) 利用“Line”函式, 將散點連線起來, 注意觀察有何特徵? (採用格式: Show[Graphics[Line[{ , , …, }]] , Axes->True ]) ;
(3) 根據公式(*), 利用“Apply”函式及集合的有關運算編寫一個小的程式, 求經驗公式;
(程式編寫思路為: 任意給定兩個集合A (此處表示溫度)、B(此處表示得率), 由公式(*)可定義兩個二元函式(集合A和B為其變數)分別表示 和 . 集合A元素求和: Apply[Plus,A] 表示將加法施加到集合A上, 即各元素相加, 例如Apply[Plus,{1,2,3}]=6;Length[A]表示集合A 元素的個數, 即為n; A.B表示兩集合元素相乘相加;A*B表示集合A與B元素對應相乘得到的新的集合.)
(4) 在同一張圖中顯示直線 及散點圖;
(5) 估計溫度為200時產品得率.
然而, 不少實際問題的觀測數據 , , …, 的散點圖明顯地不能用線性關係來描敘, 但確實散落在某一曲線近旁, 這時可以根據散點圖的輪廓和實際經驗, 選一條曲線來近似表達 與 的相互關係.
問題 II 下表是美國舊轎車價格的調查資料, 今以 表示轎車的使用年數, (美元)表示相應的平均價格, 求 與 之間的關係.
案例分析
使用年數
1 2 3 4 5 6 7 8 9 10
平均價格
2651 1943 1494 1087 765 538 484 290 226 204
(1) 利用“ListPlot”函式繪出數據 的散點圖, 注意觀察有何特徵?
(2) 令 , 繪出數據 的散點圖, 注意觀察有何特徵?
(3) 利用“Line”函式, 將散點連線起來, 說明有何特徵?
(4) 利用最小二乘法, 求 與 之間的關係;
(5) 求 與 之間的關係;
(6) 在同一張圖中顯示散點圖 及 關於 的圖形.
思考與練習
1. 假設一組數據 : , , …, 變數之間近似成線性關係, 試利用集合的有關運算, 編寫一簡單程式: 對於任意給定的數據集合 , 通過求解極值原理所包含的方程組, 不需要給出 、 計算的表達式, 立即得到 、 的值, 並就本課題 I /(3)進行實驗.
注: 利用Transpose函式可以得到數據A的第一個分量的集合, 命令格式為:
先求A的轉置, 然後取第一行元素, 即為數據A的第一個分量集合, 例如
(A即為矩陣)
= (數據A的第一個分量集合)
= (數據A的第二個分量集合)
B-C表示集合B與C對應元素相減所得的集合, 如 = .
2. 最小二乘法在數學上稱為曲線擬合, 請使用擬合函式“Fit”重新計算 與 的值, 並與先前的結果作一比較.

