暫態復頻域分析
正文
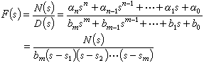
拉普拉斯變換 設時間t的函式f(t),且f(t)=0,它的拉普拉斯變換F(s)是
(1)
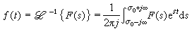
,s即稱為復頻率。σ>σ0,σ0是能使式(1)收斂的最小的σ值,稱為收斂橫坐標。F(s)又稱為f(t)的象函式,f(t)則稱為F(s)的原函式。只要f(t)滿足一些很寬的條件, 式(1)的積分收斂,f(t)的拉普拉斯變換便存在。給定一原函式f(t),可由式(1)求其象函式。反之,由一象函式F(s)亦可求出其原函式f(t)
(2)
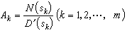
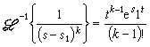
根據(1)、(2)兩式,可以求出各個不同的f(t)與相應的F(s)。將許多這樣的f(t)、F(s)記成一份表,便可以象利用積分表那樣利用它。表中列出了一份簡短的拉普拉斯轉換表,其中有一些最常用的函式及其拉普拉斯變換式。
暫態復頻域分析①對任一節點在任一瞬間流出此節點的各電流的代數和為零(KCL),即
∑i(t)=0
②對任一閉合迴路在任一瞬間沿一迴路方向的各電壓的代數和為零(KVL),即∑u(t)=0
在對電路問題求解時還需要表示電路元件特性的方程,例如對電阻、電感、電容,電壓、電流有以下關係

套用拉普拉斯變換,將以上諸方程中的各變數變換成相應的拉普拉斯變換式,便有對於KCL:
∑I(s)=0
對於KVL:∑U(s)=0
對於元件方程:ur(s)=RI(s)
uL(s)=SLI(s)-Li(0-)

ir(s)=Gur(s)

iC(s)=SCuC(s)-CuC(0)
等等。由上面的方程可以作出相應的變換後的等效電路圖)。
暫態復頻域分析

,立即可得F(s)的原函式 



,即可求得F(s)的原函式。
