定義
收斂速度以收斂階衡量, 亦可以收斂因子描述; 依計算方法的不同, 有下述兩種收斂階及收斂階.
商收斂因子及商收斂階
收斂速度一、商收斂因子的定義式如下:
收斂速度
收斂速度
收斂速度
收斂速度
收斂速度
收斂速度
收斂速度
收斂速度
收斂速度
收斂速度1、如果 , 則稱 是 Q—超線性收斂於 ; 如果 , 則稱 是 Q—線性收斂於 ; 如果 則稱 是 Q—次線性收斂於 .
收斂速度
收斂速度
收斂速度
收斂速度
收斂速度
收斂速度
收斂速度
收斂速度
收斂速度2、如果 , 則稱 是 Q—超平方收斂於 ; 如果 , 則稱 是 Q—平方收斂於 ; 如果 , 則稱 是 Q—次平方收斂於 .
注意: Q—線性收斂與Q—平方收斂, 以及Q—次線性收斂與Q—次平方收斂的評判標準有些微差別. “Q—平方收斂”也稱為“Q—二次收斂”.
收斂速度
收斂速度依照Q—平方收斂 (不是Q—線性收斂) 的定義, 可以定義Q—立方收斂 (將 改為 ), Q—四次方收斂等更高Q—收斂階.
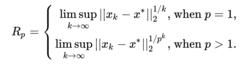
收斂速度二、商收斂階的定義式如下:
收斂速度
收斂速度
收斂速度
收斂速度
收斂速度
收斂速度
收斂速度
收斂速度根收斂因子及根收斂階
收斂速度一、根收斂因子的定義式如下:
收斂速度
收斂速度
收斂速度
收斂速度
收斂速度
收斂速度
收斂速度
收斂速度
收斂速度
收斂速度1、如果 則稱 是 R—超線性收斂於 ; 如果 , 則稱 是 R—線性收斂於 ; 如果 , 則稱 是 R—次線性收斂於 .
收斂速度
收斂速度
收斂速度
收斂速度
收斂速度
收斂速度
收斂速度
收斂速度
收斂速度2、如果 , 則稱 是 R—超平方收斂於 ; 如果 , 則稱 是 R—平方收斂於 ; 如果 , 則稱 是 R—次平方收斂於 .
注意: R—次線性收斂與R—次平方收斂的評判標準有些微差別. “R—平方收斂”也稱為“R—二次收斂”.
收斂速度
收斂速度依照R—平方收斂 (不是R—線性收斂) 的定義, 可以定義R—立方收斂 (將 改為 ), R—四次方收斂等更高R—收斂階.
收斂速度二、根收斂階的定義式如下:
收斂速度
收斂速度
收斂速度
收斂速度
收斂速度
收斂速度
收斂速度
收斂速度對比根收斂因子的描述, 根收斂階是指求出一個數 (不一定是整數), 使得對於 , 點列 都是R—次 次方收於, 且對於 都是R— 次方收斂. 而這個數 就是點列的根收斂階.
兩種收斂階的聯繫
對於一個收斂點列而言, 其Q—收斂階不大於其R—收斂階, 即
收斂速度有時, 一個數列的 R—收斂階可能很高, 但其 Q—收斂階可能很低. 當然可以證明, 一個 R—收斂階高的點列至少比某些 Q—收斂低的點列收斂得更快.
實例
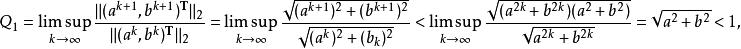
數列
有如下向量列:
收斂速度據上作出計算如下,
收斂速度故數列為Q線性收斂; Q收斂階為1;
收斂速度故數列為R線性收斂; R收斂階為1.
最佳化算法的疊代點列
收斂速度
收斂速度
收斂速度對於牛頓法,可以證明, 如果牛頓法的目標函式 的二階導數 在其收斂點 處Lipschitz連續, 則滿足不等式
收斂速度此說明牛頓法的疊代點列是Q平方收斂; 另言之, 牛頓法的收斂速度是二次的.
