定義
摺紙數學是指對摺紙藝術從數學的角度加以研究。比如,研究某個特定的紙模型的可展性(研究該模型是否可以攤平而無須把它弄破)以及使用摺紙來解數學方程。
解釋
某些經典幾何作圖問題例如三等分角,或者將立方體的體積擴大一倍(倍立方)等問題都被證明為尺規作圖不可能解決的。但是它們可以通過幾個摺紙步驟加以解決。一般地,摺紙可以通過作圖求解不超過4次的代數方程。Huzita-Hatori公理集是這一領域的重要研究成果。
簡述
作為利用幾何概念對摺紙進行研究的結果,Haga定理可以用來把紙的一邊精確地三等分、五等分、七等分和九等分。其他定理則允許我們從正方形折出其它圖型,例如等邊三角形、正六邊形、正八邊形以及特定的矩形比如黃金矩形和白銀矩形等。
幾何摺紙算法
從帶有摺痕的平紙重新折出原來的形狀這一問題已被MarshallBern和BarryHayes證明為NP完全問題。其它技術上的結果在《幾何摺紙算法》一書第二部分有更詳細的介紹。
套用
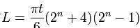
圖示對一張紙不斷對摺,其損失函式為如圖示,這裡L代表紙張的最小長度,t代表紙張厚度,n代表摺疊次數。這個函式是BritneyGallivan在2001年(那時候他還是個高中學生)提出的,他能把一張紙對摺12次。之前人們一直以為不管多大的紙最多只能對摺8次。
趣味數學
| 趣味數學以帶有強烈的遊戲色彩知名於世。歐拉就是通過對bridge-crossing之謎的分析打下了拓撲學的基礎。萊布尼茨也寫到過他在獨自玩插棍遊戲時分析問題的樂趣。希爾伯特證明了切割幾何圖形中的許多重要定理。馮·紐曼奠基了博弈論。最受大眾歡迎的計算機遊戲—生命是英國著名數學家康威發明的。愛因斯坦也收藏了整整一書架關於數學遊戲和數學謎的書。 |
