定義
卡布列克數(Kaprekar number)是具有以下性質的數:
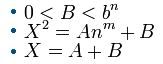
卡布列克數對於某個正整數X在n進位下存在正整數 A, B 及 m,且如圖:
圖示簡單的說,若正整數X在n進位下的平方可以分割為二個數字,而這二個數字相加後恰等於X,那么X就是n進位下的卡布列克數。
解釋
卡布列克數例如297在十進制下是卡布列克數,因為如圖示2
圖示2可以分割成 88 及 209,且 88+209=297。不過 100 在十進制下不是卡布列克數,雖然如圖示3
可以分割成 100 及 00,但 00 不是正整數。
在十進制下,幾個較小的卡布列克數如下(OEIS中的數列A006886):
1, 9, 45, 55, 99, 297, 703, 999, 2223, 2728, 4879, 4950, 5050, 5292, 7272, 7777, 9999, 17344, 22222, 38962, 77778, 82656, 95121, 99999, 142857, 148149, 181819, 187110, 208495, 318682, 329967, 351352, 356643, 390313, 461539, 466830, 499500, 500500, 533170
在二進制下,所有的完全數都是卡布列克數。
卡布列克數有時候,人們會把6174這個數稱作卡布列克數,而其實這是卡布列克常數。
趣味數學
| 趣味數學以帶有強烈的遊戲色彩知名於世。歐拉就是通過對bridge-crossing之謎的分析打下了拓撲學的基礎。萊布尼茨也寫到過他在獨自玩插棍遊戲時分析問題的樂趣。希爾伯特證明了切割幾何圖形中的許多重要定理。馮·紐曼奠基了博弈論。最受大眾歡迎的計算機遊戲—生命是英國著名數學家康威發明的。愛因斯坦也收藏了整整一書架關於數學遊戲和數學謎的書。 |

