定義
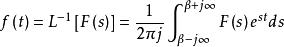
拉普拉斯逆變換拉普拉斯逆變換可以表示為已知函式f(t)的拉普拉斯變換F(s),求原函式f(t)的運算為拉普拉斯反變換。其公式為:
常用方法
1、部分分式展開法
拉普拉斯逆變換將X(s)分解為因式之和,然後利用拉普拉斯變換公式求其反變換。
2、留數法
拉普拉斯逆變換變換公式為:

拉普拉斯逆變換為當已知信號函式x(t)的拉普拉斯變換X(s),求解信號的時域表達式x(t)。
拉普拉斯逆變換拉普拉斯逆變換可以表示為已知函式f(t)的拉普拉斯變換F(s),求原函式f(t)的運算為拉普拉斯反變換。其公式為:
1、部分分式展開法
拉普拉斯逆變換將X(s)分解為因式之和,然後利用拉普拉斯變換公式求其反變換。
2、留數法
拉普拉斯逆變換變換公式為:
拉普拉斯變換是工程數學中常用的一種積分變換,又名拉氏變換。 [1] 拉氏變換是一個線性變換,可將一個有參數實數t(t≥ 0)的函式轉換為一個參數為複數s...
發展歷史 公式概念 基本性質 套用領域定理 意義與作用拉普拉斯變換法(method of Laplace transform)求解常係數線性常微分方程的一個重要方法。 運用拉普拉斯變換將常係數線性常微分方程...
形式定義 逆變換 性質和定理 套用實例 工程學的套用拉普拉斯變換(英文:Laplace Transform),是工程數學中常用的一種積分變換。
f(t),e^ ,dt 拉普拉斯逆變換,是已知F(s),,求解f(t),的過程。用符號 mathcal ^ ,表示。 拉普拉斯逆變換的公式...、KVL、疊加法。逆變換拉氏變換拉普拉斯變換為F(s),=mathcal...
簡介 定義 推導 物理意義 逆變換6.4拉普拉斯逆變換6.5微分方程的求解6.6電路的s域求解6.7雙邊...拉普拉斯逆變換6.8LTI系統的系統函式及其性質6.8.1系統函式...6.10.2單邊拉普拉斯變換及其性質6.10.3拉普拉斯逆變換6.10.4...
內容簡介 圖書目錄3.5拉普拉斯逆變換3.5.1單邊拉普拉斯變換的逆變換3.5.2包含指數項函式的逆變換3.5.3雙邊拉普拉斯變換的逆變換3.6LTI系統的分析...、時域描述和分析(第2章)出發,先介紹拉普拉斯變換及其在連續LTI系統分析...
前言 圖書簡介 圖書目錄 作者薦語Louis Lagrange, 1736-1813)和拉普拉斯...),當拉普拉斯和其它審查者投票通過並要發表這個論文時,拉格朗日堅決反對,在他此後...數位訊號處理(DSP),有許多的變換:傅立葉變換、拉普拉斯變換、Z變換...
介紹 相關介紹 特點性質 特殊變換 套用變換的性質 4.3 單邊拉普拉斯逆變換 4.3.1 查表法... 4.1 拉普拉斯變換 4.1.1 從傅立葉變換到拉普拉斯變換 4.1.2 雙邊拉普拉斯變換的收斂域 4.1.3 單邊拉普拉斯變換...
圖書信息 內容簡介 圖書目錄逆變換。F(ω)叫做f(t)的像函式,f(t)叫做F(ω)的像原函式。F...)。相關 傅立葉變換 *傅立葉變換屬於諧波分析 。 *傅立葉變換的逆變換...乘積的傅立葉逆變換等於它們各自的傅立葉逆變換的卷積。 Parseval...
概念: 基本性質 不同變種 相關 例子