形式定義
拉普拉斯變換法對於所有實數,函式f(t)的拉普拉斯變換是函式F(s),定義為:
拉普拉斯變換法參數s是一個複數:
拉普拉斯變換法為實數。
拉普拉斯變換法
拉普拉斯變換法拉普拉斯變換的其他表示法中使用 而非F。 是一個運算符號。
拉普拉斯變換法積分的含義取決於函式的類型。該積分存在的一個必要條件是在f必須在 上局部可積。對在無窮大處衰減的局部可積函式或指數式,該積分可以理解為(恰當)勒貝格積分。然而,在很多套用中有必要將其視作在 處條件收斂的反常積分。更一般的,積分可以在較弱的意義上理解,在下面會去處理。
拉普拉斯變換法可以用勒貝格積分定義拉普拉斯變換為有限博雷爾測度
拉普拉斯變換法
拉普拉斯變換法
拉普拉斯變換法一種特殊情況是當 為機率測度,或者更具體地說,是[[狄拉克 函式]]時。在運算微積中,拉普拉斯變換的測度常常被視作由分布函式f帶來的測度。在這種情況下,為了避免混淆,一般寫作
拉普拉斯變換法其中是 0的下限的簡化符號
拉普拉斯變換法這個極限強調任何位於 0 的質點都被拉普拉斯變換完全捕獲。雖然使用勒貝格積分,沒有必要取這個極限,但它可以更自然地與拉普拉斯–斯蒂爾吉斯變換建立聯繫。
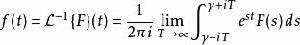
逆變換
兩個相異的可積函式,只有在其差的勒貝格測度為零時,才會有相同的拉普拉斯變換。因此以轉換的角度而言,存在其反轉換。包括可積分函式在內,拉普拉斯變換是單射映射,將一個函式空間映射到其他的函式空間。典型的函式空間包括有界連續函式、函式空間L(0, ∞)、或是更廣義,在 (0, ∞) 區間內的緩增廣義函式(函式的最壞情形是多項式增長)。
拉普拉斯逆變換有許多不同的名稱,如 維奇積分、 傅立葉-梅林積分、 梅林逆公式,是一個復積分:
拉普拉斯變換法
拉普拉斯變換法其中 是一個使F(s)的積分路徑在收斂域內的實數。另一個拉普拉斯逆變換的公式是由Post反演公式而來。
在實務上一般會配合查表,將函式的拉普拉斯變換分換為許多已知函式的拉普拉斯變換,再利用觀察的方式產生其拉普拉斯逆變換。在微分方程中會用到拉普拉斯逆變換,會比用傅立葉轉換的處理方式要簡單。
性質和定理
函式f(t)和g(t)的拉普拉斯變換分別為F(s)和G(s):
拉普拉斯變換法單邊拉普拉斯變換的性質:
和的拉普拉斯變換等於各項的拉普拉斯變換的總和。
拉普拉斯變換法一個函式的倍數的拉普拉斯變換等於該函式的拉普拉斯變換的倍數。
拉普拉斯變換法初值定理:
拉普拉斯變換法,要求F(s)為真分式,即分子的最高次小於分母的最高次,否則使用多項式除法將{F(s)分解
終值定理:
拉普拉斯變換法,要求sF(s)的所有極點都在左半複平面或原點為單極點。
由於終值定理無需經過部分分式分解或其他困難的代數就能給出長期的行為,它就很有用。如果F(s)在右側面或虛軸上有極點,(例如f(t)=e }或 f(t)=sin(t)})這個公式的行為就是未定義的。
套用實例
拉普拉斯變換在物理學和工程中是常用的;線性時不變系統的輸出可以通過卷積單位脈衝回響與輸入信號來計算,而在拉氏空間中執行此計算將卷積通過轉換成乘法來計算。後者是更容易解決,由於它的代數形式。
拉普拉斯變換也可以用來解決微分方程,這被廣泛套用於電氣工程。拉普拉斯變換把線性差分方程化簡為代數方程,這樣就可以通過代數規則來解決。原來的微分方程可以通過施加逆拉普拉斯變換得到其解。英國電氣工程師奧利弗·黑維塞第一次提出了一個類似的計畫,雖然沒有使用拉普拉斯變換;以及由此產生的演算被譽為黑維塞演算。
工程學的套用
套用拉普拉斯變換解常變數齊次微分方程,可以將微分方程化為代數方程,使問題得以解決。在工程學上,拉普拉斯變換的重大意義在於:將一個信號從時域上,轉換為復頻域(s域)上來表示,對於分析系統特性,系統穩定有著重大意義;線上性系統,控制自動化上都有廣泛的套用。

