簡介
拉氏變換英文名為Laplace Transform,為法國著名數學家拉普拉斯(Laplace,Pierre-Simon,marquisde)創立。主要運用於現代控制領域,和傅氏變換並稱為控制理論中的兩大變換。
定義
拉氏變換即拉普拉斯變換。為簡化計算而建立的實變數函式和復變數函式間的一種函式變換。拉普拉斯變換的這種運算步驟對於求解線性微分方程尤為有效,它可把微分方程化為容易求解的代數方程來處理,從而使計算簡化。
推導
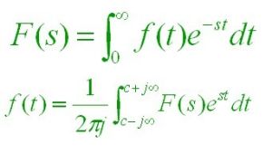
拉氏變換推導f(t),是一個關於t,的函式,使得當t<0,時候,f(t)=0,;
s, 是一個復變數;
mathcal 是一個運算符號,它代表對其對象進行拉普拉斯積分int_0^infty e^ ,dt;F(s),是f(t),的拉普拉斯變換結果。
則f(t),的拉普拉斯變換由下列式子給出:
F(s),=mathcal left =int_ ^infty f(t),e^ ,dt
拉普拉斯逆變換,是已知F(s),,求解f(t),的過程。用符號 mathcal ^ ,表示。
拉普拉斯逆變換的公式是:
對於所有的t>0,;
f(t)
= mathcal ^ left
=frac int_ ^ F(s),e^ ,ds
c,是收斂區間的橫坐標值,是一個實常數且大於所有F(s),的個別點的實部值。
引入拉普拉斯變換的一個主要優點,是可採用傳遞函式代替微分方程來描述系統的特性。這就為採用直觀和簡便的圖解方法來確定控制系統的整個特性(見信號流程圖、動態結構圖)、分析控制系統的運動過程(見奈奎斯特穩定判據、根軌跡法),以及綜合控制系統的校正裝置(見控制系統校正方法)提供了可能性。
用 f(t)表示實變數t的一個函式,F(s)表示它的拉普拉斯變換,它是復變數s=σ+jΩ;的一個函式,其中σ和&owega; 均為實變數,j2=-1。F(s)和f(t)間的關係由下面定義的積分所確定:
如果對於實部σ >σc的所有s值上述積分均存在,而對σ ≤σc時積分不存在,便稱 σc為f(t)的收斂係數。對給定的實變數函式 f(t),只有當σc為有限值時,其拉普拉斯變換F(s)才存在。習慣上,常稱F(s)為f(t)的象函式,記為F(s)=L[f(t)];稱f(t)為F(s)的原函式,記為ft=L-1[F(s)]。
函式變換對和運算變換性質 利用定義積分,很容易建立起原函式 f(t)和象函式 F(s)間的變換對,以及f(t)在實數域內的運算與F(s)在複數域內的運算間的對應關係。
物理意義
拉氏變換是將時間函式f(t)變換為複變函數F(s),或作相反變換。
時域(t)變數t是實數,復頻域F(s)變數s是複數。變數s又稱“復頻率”。
拉氏變換建立了時域與復頻域(s域)之間的聯繫。
s=jw,當中的j是複數單位,所以使用的是復頻域。通俗的解釋方法是,因為系統中有電感X=jwL、電容X=1/jwC,物理意義是,系統H(s)對不同的頻率分量有不同的衰減,即這種衰減是發生在頻域的,所以為了與時域區別,引入複數的運算。但是在復頻域計算的形式仍然滿足歐姆定理、KCL、KVL、疊加法。
逆變換
拉氏變換拉普拉斯逆變換的公式是: 對於所有的t>0,; f(t) = mathcal ^ left =frac int_ ^ F(s),e^ ,ds c,是收斂區間的橫坐標值,是一個實常數且大於所有F(s),的個別點的實部值。 為簡化計算而建立的實變數函式和復變數函式間的一種函式變換。對一個實變數函式作拉普拉斯變換,並在複數域中作各種運算,再將運算結果作拉普拉斯反變換來求得實數域中的相應結果,往往比直接在實數域中求出同樣的結果在計算上容易得多。拉普拉斯變換的這種運算步驟對於求解線性微分方程尤為有效,它可把微分方程化為容易求解的代數方程來處理,從而使計算簡化。在經典控制理論中,對控制系統的分析和綜合,都是建立在拉普拉斯變換的基礎上的。
引入拉普拉斯變換的一個主要優點,是可採用傳遞函式代替微分方程來描述系統的特性。這就為採用直觀和簡便的圖解方法來確定控制系統的整個特性(見信號流程圖、動態結構圖)、分析控制系統的運動過程(見奈奎斯特穩定判據、根軌跡法),以及綜合控制系統的校正裝置(見控制系統校正方法)提供了可能性。
用 f(t)表示實變數t的一個函式,F(s)表示它的拉普拉斯變換,它是復變數s=σ+j&owega;的一個函式,其中σ和&owega; 均為實變數,j2=-1。F(s)和f(t)間的關係由下面定義的積分所確定: 如果對於實部σ >σc的所有s值上述積分均存在,而對σ ≤σc時積分不存在,便稱 σc為f(t)的收斂係數。對給定的實變數函式 f(t),只有當σc為有限值時,其拉普拉斯變換F(s)才存在。習慣上,常稱F(s)為f(t)的象函式,記為F(s)=L[f(t)];稱f(t)為F(s)的原函式,記為ft=L-1[F(s)]。 函式變換對和運算變換性質 利用定義積分,很容易建立起原函式 f(t)和象函式 F(s)間的變換對,以及f(t)在實數域內的運算與F(s)在複數域內的運算間的對應關係。表1和表2分別列出了最常用的一些函式變換對和運算變換性質。

