一、從切平面定義
從切平面給出 類空間曲線(C)和(C)上一點P,設曲線的(C)的自然參數表示為 :
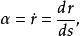
空間曲線的基本向量
從切平面其中s是自然參數,定義:
從切平面
從切平面
從切平面
從切平面分別為曲線上P點的單位切向量,主法向量和副法向量。P點上的三個向量構成右手系。
從切平面
從切平面則 和 所確定的平面是曲線(C)上P點的從切平面。
二、從切平面方程
1、自然參數方程
如定義,從切平面方程為:
從切平面或
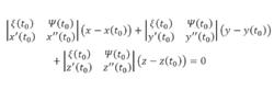
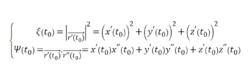
從切平面2、一般參數方程
從切平面給定 類空間曲線(C)
從切平面
從切平面則曲線C在一點 處的從切平面為:
從切平面其中
從切平面三、計算實例
從切平面1、求曲線 在原點的從切平面:
解:
從切平面
從切平面,
從切平面
從切平面,
從切平面
從切平面ξ(0)=2,Ψ(0)=2
所以,從切平面方程為
從切平面即
從切平面四、性質及意義
1、從切平面,法平面,密切平面所構成的圖形稱為曲線的基本三棱形。
空間曲線的基本三棱形
從切平面2、曲線r(s)的密切球面與從切平面的交線圓的圓心軌跡方程
從切平面其中分別為曲線的曲率,擾率和副法向量。
3、兩條曲線的對應點的從切平面重合,則這兩條曲線為達布曲線。

