解析幾何簡介
在中學課本中,解析幾何被簡單地解釋為:採用數值的方法來定義幾何形狀,並從中提取數值的信息。然而,這種數值的輸出可能是一個方程或者是一種幾何形狀。
1637年,笛卡兒在《方法論》的附錄“幾何”中提出了解析幾何的基本方法。以哲學觀點寫成的這部法語著作為後來牛頓和萊布尼茨各自提出微積分學提供了基礎。
對代數幾何學者來說, 解析幾何也指(實或者復)流形,或者更廣義地通過一些復變數(或實變數)的解析函式為零而定義的 解析空間理論。這一理論非常接近代數幾何,特別是通過讓-皮埃爾·塞爾在《代數幾何和解析幾何》領域的工作。這是一個比代數幾何更大的領域,不過也可以使用類似的方法。
歷史
古希臘數學家梅內克繆斯的解題、證明方式與使用坐標系十分相似,以至於有時會認為他是解析幾何的鼻祖。阿波羅尼奧斯在《論切觸》中解題方式被稱為單維解析幾何;他使用直線來求得一點與其它點之間的比例。阿波羅尼奧斯在《圓錐曲線論》中進一步發展了這種方式,這種方式與解析幾何十分相似,比起笛卡兒早了1800多年。他使用了參照線、直徑、切線與現進所使用坐標系沒有本質區別,即從切點沿直徑所量的距離為橫坐標,而與切線平行、並與數軸和曲線向交的線段為縱坐標。他進一步發展了橫坐標與縱坐標之間的關係,即兩者等同於誇張的曲線。然而,阿波羅尼奧斯的工作接近於解析幾何,但它沒能完成它,因為他沒有將負數納入系統當中。在此,方程是由曲線來確定的,而曲線不是由方程得出的。坐標、變數、方程不過是一些給定幾何題的腳註罷了。
十一世紀波斯帝國數學家歐瑪爾·海亞姆發現了幾何與代數之間的密切聯繫,在求三次方程使用了代數和幾何,取得了巨大進步。但最關鍵的一步由笛卡兒完成。
從傳統意義上講,解析幾何是由勒內·笛卡兒創立的。笛卡兒的創舉被記錄在《幾何學》當中,在1637年與他的《方法論》一道發表。這些努力是以法語寫成的,其中的哲學思想為創立無窮小提供了基礎。最初,這些著作並沒有得到認可,部分原因是由於其中論述的間斷,方程的複雜所致。直到1649年,著作被翻譯為拉丁語,並被馮·斯霍滕恭維後,才被大眾所認可接受。
費馬也為解析幾何的發展做出了貢獻。他的《平面與立體軌跡引論》雖然沒有在生前發表,但手稿於1637年在巴黎出現,正好早於笛卡兒《方法論》一點。《引論》文字清晰,獲得好評,為解析幾何提供了鋪墊。費馬與笛卡兒方法的不同在於出發點。費馬從代數公式開始,然後描述它的幾何曲線,而笛卡兒從幾何曲線開始,以方程的完結告終。結果,笛卡兒的方法可以處理更複雜的方程,並發展到使用高次多項式來解決問題。
基本理論
坐標
在解析幾何當中,平面給出了坐標系,即每個點都有對應的一對實數坐標。最常見的是笛卡兒坐標系,其中,每個點都有x-坐標對應水平位置,和y-坐標對應垂直位置。這些常寫為有序對(x,y)。這種系統也可以被用在三維幾何當中,空間中的每個點都以多元組呈現(x,y,z)。
坐標系也以其它形式出現。在平面中最常見的另類坐標系是極坐標系,其中每個點都以從原點出發的半徑r和角度θ表示。在三維空間中,最常見的另類坐標系統是圓柱坐標系和球坐標系。
曲線方程
在解析幾何當中,任何方程都包含確定面的子集,即方程的解集。例如,方程y=x在平面上對應的是所有x-坐標等於y-坐標的解集。這些點匯集成為一條直線,y=x被稱為這道方程的直線。總而言之,線性方程中x和y定義線,一元二次方程定義圓錐曲線,更複雜的方程則闡述更複雜的形象。
通常,一個簡單的方程對應平面上的一條曲線。但這不一定如此:方程x=x對應整個平面,方程x +y =0隻對應(0,0)一點。在三維空間中,一個方程通常對應一個曲面,而曲線常常代表兩個曲面的交集,或一條參數方程。方程x +y =r代表了是半徑為r且圓心在(0,0)上的所有圓。
距離和角度
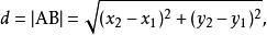
在解析幾何當中,距離、角度等幾何概念是用公式來表達的。這些定義與背後的歐幾里得幾何所蘊含的主旨相符。例如,使用平面笛卡兒坐標系時,兩點A(x,y),B(x,y)之間的距離d(又寫作|AB|被定義為
平面解析幾何上述可被認為是一種勾股定理的形式。類似地,直線與水平線所成的角可以定義為
平面解析幾何其中m是線的斜率。
變化
平面解析幾何
平面解析幾何
平面解析幾何
平面解析幾何
平面解析幾何
平面解析幾何
平面解析幾何
平面解析幾何
平面解析幾何
平面解析幾何
平面解析幾何
平面解析幾何
平面解析幾何
平面解析幾何
平面解析幾何變化可以使母方程變為新方程,但保持原有的特性。例如,母方程 有水平和垂直的漸近線,處在第一和第三象限當中能夠,它所有的變形都有水平和垂直的漸近線,出現在第一或第三、第二或第四象限當中。總的來說,如果 ,那么它可以變為 。新的變形方程, 因素如果大於1,就垂直拉伸方程;如果小於1,就壓縮方程。如果 值為負,那么方程就反映在 -軸上。 值如果大於1就水平壓縮方程,小於1就拉伸方程。與 一樣,如果為負就反映在 -軸上。 和 值為平移, 值是垂直, 為水平。 和 的正值意味著方程往數軸的正方向移動,負值意味這往數軸的負方向移動。
變化可以套用到任意幾何等式中,不論等式是否代表某一方程。 變化可以被認為是個體處理、或是組合處理。
平面解析幾何
平面解析幾何例如, 在 平面上
平面解析幾何
平面解析幾何指代單位圓。 圖像 可以被變化為:
平面解析幾何
平面解析幾何
平面解析幾何將 變為 ,使得圖像向右移動 個單位。
平面解析幾何
平面解析幾何
平面解析幾何將 變為 ,使得圖像向上移動 個單位。
平面解析幾何
平面解析幾何
平面解析幾何
平面解析幾何將 變為 ,使得圖像以 值拉伸。 (想像一下 被膨脹了)
平面解析幾何
平面解析幾何將 變為 ,使得圖像垂直拉伸。
平面解析幾何
平面解析幾何
平面解析幾何
平面解析幾何
平面解析幾何將 變為 ,將 變為 ,使得圖像鏇轉 個角度。
交集
平面解析幾何
平面解析幾何
平面解析幾何
平面解析幾何
平面解析幾何
平面解析幾何
平面解析幾何
平面解析幾何
平面解析幾何
平面解析幾何
平面解析幾何
平面解析幾何
平面解析幾何
平面解析幾何
平面解析幾何
平面解析幾何
平面解析幾何
平面解析幾何
平面解析幾何
平面解析幾何
平面解析幾何
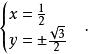
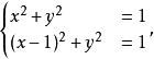
平面解析幾何雖然本討論僅限於xy-平面上,但它可以很容易地衍生為更高維的空間中。兩個幾何對象P和Q指代 和 ,其交集是所有點 的集合。 例如, 可以是半徑為1的圓,圓心在 , 可以是半徑為1的圓,圓心在 。兩圓的交叉點是滿足方程的所有點的集合。點 是否滿足方程呢?將 帶入 , 便成為 或 ,結論為真,因此 在 上。換句話來說,接著將 帶入 ,方程 成為 或 ,結論為假。 不在 上,因此不是它的集合。
平面解析幾何
平面解析幾何與 的交集可以通過同時解方程來求得:
平面解析幾何
平面解析幾何解得
我們的交集有兩點:
平面解析幾何就圓錐曲線而言,交集可能會出現至多4個點。
主題問題
解析幾何中的重要問題:
•向量空間
•平面的定義
•距離問題
•點積求兩個向量的角度
•外積求一向量垂直於兩個已知向量(以及它們的空間體積)
