發展歷程
在研究弧度制發展時,我們必須談到三角學和角,因為弧度制是依託它們二者存在的。依據三角學在數學研究中的地位,筆者認為三角學的發展可以分為萌芽階段、傳播階段和確立階段三個階段。萌芽階段從公元前約300年古巴比倫時期開始到公元640年希臘古代數學落幕為止,這段時期由於天文學的需要,三角學受到學者們的重視,它是天文學的一部分;傳播階段從公元640年希臘古代數學落幕後到15世紀文藝復興開始前為止,這段時期三角學在不同地區傳播,雖然其研究內容本質與萌芽階段時相比沒有區別,但它逐漸脫離天文學,成為了數學的一個分支;確立階段是從文藝復興開始至今,在微積分等新興數學力量的崛起下,三角學逐漸成為了其他數學分支中的一部分,而在此期間,弧度製成為了度量角的主要單位。
18世紀以前,人們一直是用線段的長來定義三角函式的。弧度定義的提出,是數學家Roger Cotes在1714年提出的,作為一種對角度的描述,使得對三角函式的研究大為簡化。中學數學教科書中都把radian譯作“弧度”。 1881年,學者哈爾斯特(G.B.Halsted)等用希臘字母ρ表示弧度的單位.1907年,學者包爾(G.N.Bauer)用r表示;1909年,學者霍爾(A.G.Hall)等又用R來表示,例如將單位弧度(角度制1°)寫成(π/180)rad,人們習慣把弧度的單位省略。
基本思想
弧度制的基本思想是使圓半徑與圓周長有同一度量單位,然後用對應的弧長與圓半徑之比來度量角度,這一思想的雛型起源於印度。那么半圓的弧長為π,此時的正弦值為0,就記為sinπ= 0,同理,1/4圓周的弧長為π/2,此時的正弦為1,記為sin(π/2)=1。從而確立了用π、π/2分別表示半圓及1/4圓弧所對的中心角。其它的角也可依此類推。
任意角與角度制
任意角
在任意一個角一邊所對應的射線情況下,逆時針旋轉所形成的角稱為 正角;順時針轉動所形成的角稱為 負角;射線未作任何旋轉,仍留在原來位置,那么我們也把它看成一個角,叫做 零角。這樣,就可以將角由優角、劣角擴展到任意角。
如果用弧度制表示,正角的弧度值是一個 正值(正實數),負角的弧度值是一個 負值(負實數),零角的弧度值是 零。 因此,弧度制能使角的集合與實數集合R存在一一對應關係:每一個角都對應唯一一個確定的實數。
角度制
就是用角的大小來度量角的大小的方法。在角度制中,我們把周角的1/360看作1度,那么,半周就是180度,一周就是360度。由於1度的大小不因為圓的大小而改變,所以角度大小是一個與圓的半徑無關的量。
換算
一個完整的圓的弧度是2π,所以:
2π rad = 360°,1 π rad = 180°,1°=π/180 rad ,1 rad = (180/π)°≈57.30°=57°18ˊ
有關公式
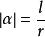
弧長公式
弧度制上式中, l為弧長, α為角度(弧度制), r為半徑。
弧度制
弧度制推導:由弧度定義得
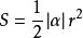
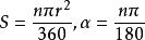
面積公式
弧度制上式中, S為面積, α為角度(弧度制), r為半徑。
弧度制
弧度制推導:(角度制角度為n°)由,將 α代入,得到
相關物理量
角速度
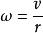
弧度制做圓周運動( 不一定勻速率)的物體在單位時間內所走的弧度即為角速度。符號:ω,單位:弧度每秒(rad/s)。定義公式:(α為所走過弧度,t為時間)。
弧度制由角速度、線速度(速率)的定義公式及弧長公式可以推出角速度與線速度的關係式:(r為半徑)
周期
做周期運動(勻速圓周運動、簡諧運動等)的物體完成一次周而復始的運動所需的時間即為周期。符號:T,單位:秒(s)。
弧度制在 勻速圓周運動中,周期T與角速度ω有關,關係式為。
意義
弧度制之所以能成為當今數學主要的角的單位制度,主要原因有二:
(一)使進位制統一。在古巴比倫以及古希臘時期,數學家在研究天文學問題時,普遍習慣使用60進制對角進行度量,為了進位制的統一,也用60進制度量弦長和弧長。此時,角度制滿足了這種需求。而隨著歷史的發展,10進制取代了60進制成為了度量長度的主要進位制。為了保持進位制的統一,自然地也將角的進位制換成10進制。弧度制滿足了這一需求,而且可以與角度制進行一一對應的換算,與原有數學系統相容.這樣,在查閱三角函式表時就可以看到用統一進位制表示的數,便於數與數之間的對比,提高解決問題的效率。
(二)簡化微積分創立後公式的計算.弧度制大約直到18世紀才被提出來,它的提出是受到微積分等近代數學發展的推動的。在弧度制下,與三角函式有關的一些公式在形式上均比角度制下有很大的簡化。正是因為這樣的優越性,弧度制才逐漸被數學界普遍接受和廣泛使用 。

