弧度的表示
RAD[弧度]
RAD[弧度]
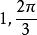
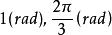
RAD[弧度]弧度的計算公式為,其中是弧長,是半徑。當用弧度表示角時,通常可以省略“弧度”或“rad”的書寫,那么每個弧度都對應一個實數。
RAD[弧度]
RAD[弧度]
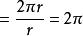
RAD[弧度]我們知道,圓周的周長是,那么圓周的弧度,則180°角的弧度則是。
RAD[弧度]
RAD[弧度]今後用弧度制表示角時,通常可省略單位“弧度”或“rad”的書寫,例如等可分別記作。
採用弧度制後,每一個角都對應一個實數;同樣,每一個實數也對應一個角的大小。這樣,角的大小和實數就建立起了一一對應關係。
皇家學院
在英國皇家舞蹈學院是一家古典芭蕾舞專業的國際舞蹈考試局。該學院成立於英國倫敦,在1920年和1936年獲得皇家特許狀。女王伊莉莎白二世是目前的RAD和聖母院安托瓦內特西布利皇家贊助人已經從1991年起擔任總裁。
RAD公司最初成立的,其目的是提高古典芭蕾舞訓練,在英國的芭蕾技巧和方法標準是為奧斯卡設計由歐洲著名舞蹈家小組。這種方法已經成為世界上最廣泛使用的之一,並導致了RAD成為領先的舞蹈教育和培訓機構,擁有超過13,000名成員,在全世界79個國家經營。目前有超過1000名全職或兼職教師與學院,每年培訓課程的學生,考試課程傳授給超過25萬世界各地的學生的四分之一。
RAD是經過驗證的舞蹈批出的舞蹈教育與訓練局的機構。該RAD還與國際舞蹈教師協會的夥伴關係。RAD組成的一個註冊慈善團體都與商業司為英國皇家舞蹈學院知名企業。
拉德
lādé
rad
輻射吸收劑量的專用單位,符號為rad。
是它不屬於SI單位,可用於專門領域。
1g物質吸收100erg的能量時,吸收劑量為1rad。
1rad=100erg/g=0.01J/kg=0.01Gy。
1拉德等於1克物質吸收100爾格能量(1千克物質吸收0.01焦耳能量),等於0.01戈瑞
模型開發
RAD(Rapid Application Develop,快速套用開發)模型是一個增量型的軟體開發過程模型,強調極短的開發周期。該模型是瀑布模型的一個“高速”變種,通過大量使用可復用構件,採用基於構件的建造方法贏得了快速開發。如果正確地理解了需求,而且約束了項目的範圍,利用這種模型可以很快創建出功能完善的信息系統。其流程從業務建模開始,隨後是數據建模、過程建模、套用生成、測試及反覆。RAD目的是快速發布系統方案,而技術上的優美相對發布的速度來說是次要的。
RAD開發模型圖採用RAD模型的軟體過程如圖所示。
RAD模型各個活動期所要完成的任務如下。
⑴業務建模
確定驅動業務過程運作的信息、要生成的信息、如何生成、信息流的去向及其處理等,可以輔之以數據流圖。
⑵數據建模
為支持業務過程的數據流查找數據對象集合、定義數據對象屬性,並與其他數據對象的關係構成數據模型,可輔之以E-R圖。
⑶過程建模
使數據對象在信息流中完成各業務功能,創建過程以描述數據對象的增加、修改、刪除、查找,即細化數據流圖中的處理框。
⑷應用程式生成
利用第4代語言(4GL)寫出處理程式,重用已有構件或創建新的可重用構件,利用環境提供的工具自動生成以構造出整個的套用系統。
⑸測試與交付
由於大量重用,一般只做總體測試,但新創建的構件還是要測試的。
與瀑布模型相比,RAD模型不採用傳統的第3代程式設計語言來創建軟體,而是採用基於構件的開發方法復用已有的程式結構(如果可能)或使用可復用構件和或創建可復用的構件(如果需要)。在所有情況下,均使用自動化工具輔助軟體創造。很顯然,加在一個RAD模型項目上的時間約束需要“一個可伸縮的範圍”。如果一個業務能夠被模組化使得其中每一個主要功能均可以在不到3個月的時間內完成,則其是RAD的一個候選者。每一個主要功能可由一個單獨的RAD組來實現,最後集成起來形成一個整體。
按照Wood and Silver (1995) 的觀點, RAD組合了5個方面的技術:
⒈進化原型
⒉CASE工具(可進行正向工程和反向工程)
⒊擁有能使用先進工具的專門人員(一個RAD開發小組)
⒋互動式JAD
⒌時間表
RAD模型通過大量使用可復用構件加快了開發速度,對信息系統的開發特別有效。但是與所有其他軟體過程模型一樣,RAD模型也有不足之處:
⒈ 對大型項目而言,RAD需要足夠的人力資源。
2 、開發人員和客戶必須在很短的時間內完成一系列的需求分析,任何一方配合不當都會導致RAD項目失敗。
⒊ 並非所有系統都適合:不能合理模組化的系統、高性能需求並且要調整構件接口的系統均不適合。 4 、 RAD只能用於信息系統開發,不適合技術風險很高的情況。當一個新套用要採用很多新技術或當新軟體要求與已有的電腦程式的高互操作性時,這種情況就會發生。
通信公司
以色列RAD數據通信有限公司
· RAD於80年代末,90年代初進入中國市場
· 1994年RAD遠東公司在香港成立
· 1997年5月8日RAD在中國大陸的視窗RAD中國公司在北京成立
· 中國迅速成為RAD公司僅次於美國的第二大單一國家市場
· RAD上海代表處於1999年正式註冊
· 2000年RAD中國公司成為RAD海外18家代表處中最大的一家
____________________________________________________________________________________
遠程數據
遠程數據訪問RAD(Remote Data Access)
RAD對象是SQL Server CE自帶的,可為Windows CE應用程式訪問遠程的SQL Server資料庫提供了一種簡單的訪問方式。通過遠程數據訪問可以將存在Windows CE上的數據直接寫入遠程的SQL Server 資料庫或將遠程的SQL Server 資料庫的數據下載到Windows CE 中的SQLCE資料庫中的一個數據表中,這樣就實現了數據的交換和同步。
商務英語
research and development 研究和開發
![RAD[弧度] RAD[弧度]](/img/8/cba/nBnauM3X1YDN0ATN2EDN0ETN1UTM1QDN5MjM5ADMwAjMwUzLxQzL3czLt92YucmbvRWdo5Cd0FmLxE2LvoDc0RHa.jpg)
