基本介紹
密位制是度量角與弧的常用制度之一,周角的1/6000稱為1密位。用密位作度量單位來量弧與角的制度稱為密位制。在密位制中,採用四個數字來記一個角的密位數,且在百位數字與十位數字之間加一短劃,單位名稱可以省去,如15密位記為00-15,一個直角=15-00,一個周角=60-00。
弧度制雖在理論上有很大價值,但在套用中卻顯得單位太大,使用不方便。曾經有人建議以1弧度的1/1000作為單位,並命名為毫弧度,這樣1周角=6283.1853毫弧度,在使用中仍感不方便,各國參照此數的近似值制定本國適用的密位制,如蘇聯確定以周角的1/6000為1密位;英、美確定以周角的1/6400為1密位;也還有確定以周角的1/6300為1密位的國家。密位制主要用於軍事測量中,炮兵對大炮方位的測定使用的就是密位制,各國軍事學教程中的密位制是大同小異的 。
與角度制和弧度制的換算
密位制與角度制的換算關係式為:
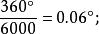
密位制1密位=
1°=6000密位/360≈16.7密位。
密位制與弧度制的換算關係式為:
密位制
密位制1密位= 弧度= 弧度≈0.001047弧度;
1弧度=6000密位/2π≈954.9密位≈9-55 。
密位制和密位公式
密位制是軍事上常用的一種量角的制度。把圓周分成6000等分,每一等分的弧所對的圓心角叫做1密位。密位的記法是在密位數的百位和十位中間畫一條短線。例如,1密位記作“0-01”,123密位記作“1-23” 。
設圓的半徑為R,那末,根據密位的意義,1密位的圓心角所對的弧長為:
密位制(取π等於3 )。
圖1所以,M密位的圓心角所對的弧長(圖1):
密位制炮兵戰士在地面進行測量時,把R當作距離(圖2),當∠AOB很小時( 3-00以下,即18°以下),弦AB的長和弧AB的長近似相等,弦AB叫做間隔,用D表示。這樣,上式可寫成:
密位制這就是軍事上常用的密位公式 。
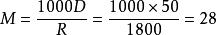
圖2例 迫擊炮連在占領陣地後,測得敵人兩地堡的間隔是50米,地堡離我炮陣地的距離是1800米,並迅速算出了迫擊炮對兩敵堡的張角。我炮兵戰士立刻以猛烈的炮火摧毀了第一個敵堡,隨即轉動迫擊炮,又摧毀了另一個敵堡。問我觀察兵算出迫擊炮對兩敵堡的張角是多少密位?
解 由觀察兵測得R=1800米,D=50米。
密位制根據密位公式 得
密位制
圖3 軍事測量答:迫擊炮對兩敵堡的張角是0-28。
解放軍戰士在實踐中,創造了一個熟記密位公式的方法。他們先記住這個形式:“間隔/(密位×距離公里數)”(間隔以米為單位,距離單位如果不是公里,一定要把它化成公里)。然後,按下法進行計算:
若要求距離時,就把上面形式中的“距離公里數”遮去。得“間隔/密位”的式子,計算結果就是距離(單位是公里)。
若要求密位時,就把“密位”遮去,得“間隔/距離公里數”的式子,計算結果就是密位數。
若要求間隔時,就把“間隔”和“橫線”一起遮去,得“密位×距離公里數”的式子,計算結果就是間隔(單位是米) 。

