定義
在一個圓中,圓心到該圓的任一弦的距離,叫做這一弦的弦心距。
在同圓或等圓中,弦相等,弦心距也相等;反之,弦心距相等,弦也相等。
在同圓或等圓中,對於兩條不相等的弦,它們的弦心距也不等,大弦的弦心距反較小。
相關性質
圓心角、弧、弦、弦心距的性質
(1)在同圓或等圓內,如果圓心角相等,那么它們所對的弧相等,所對的弦相等,所對弦上的弦心距相等(逆命題也成立)。
(2)在同圓或等圓內,如果圓心角不等,那么圓心角大的所對的弧大,所對的弦大,所對弦上的弦心距小(逆命題也成立) 。
直徑、弦、弧的性質
(1)在圓內,如果直徑垂直弦,那么這直徑平分這弦,平分這弦所對的弦。
(2)在圓內,如果直徑平分弦(這弦本身不是直徑),那么這直徑垂直這弦,並平分這弦所對的弧。
(3)在圓內,如果直徑平分弧,那么這直徑垂直平分這弧所對的弦。
(4)在圓內,弦的垂直平分線通過圓心。
(5)在圓內,二平行弦所夾的弧相等 。
弦心距的計算
遇到求弦長a,弦心距d,半徑r及弓形高h的問題,經常建立以半徑、半弦、弦心距為邊的直角三角形,利用勾股定理解題 。
圖1由a,d,r,h中任意兩個可求其他兩個,如圖1。
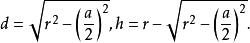
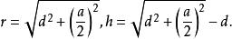
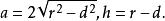
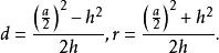
弦心距(1)若已知r、d,則
弦心距(2)若已知r、h,則
弦心距(3)若已知r、a,則
弦心距(4)若已知d、h,則
弦心距(5)若已知a、d,則
弦心距(6)若已知a、h,則
有關弦長、弦心距的計算問題往往需要作垂直於弦的直徑(半徑或弦心距),利用垂徑定理平分弦的結論以及半徑、弦心距和弦的一半組成的直角三角形達到求解的目的,也可用相交弦定理的推論解題 。
【例1】 本市新建的滴水湖是圓形人工湖,為測量該湖的半徑,小傑和小麗沿湖邊選取A,B,C三根木柱,使得A,B之間的距離與A,C之間的距離相等,並測得BC長為240 m,A到BC的距離為5m,如圖2所示,請你幫他們求出滴水湖的半徑。
圖2解 析 本題涉及垂徑定理及其推論知識,得OA⊥BC,再利用勾股定理求解。
解:連線OA交BC於D,連線OB。
弦心距因為AB= AC,所以 ,
所以OA⊥BC,且BD=DC=1/2BC= 120,
由題意知DA=5,
在Rt△BDO中,OB²=OD²+BD²,
弦心距設OB= m,則
弦心距所以x=1442.5.
答:滴水湖的半徑為1442.5 m 。

