簡介
樣本點在空間區域中均勻分布的機率模型。
幾何機率
幾何機率
幾何機率
幾何機率此時試驗的可能結果是歐幾里得空間中的點,所有樣本點的集合 是此空間中一個幾何圖形,滿足條件。這裡 表示集合的勒貝格測度(長度、面積、體積等)。
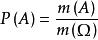
幾何機率對的任何可測子集 A,稱
幾何機率為事件 A 的幾何機率。
幾何機率
幾何機率
幾何機率由於試驗的對稱性,各種結果出現是等可能的,體現在樣本點於中均勻分布:樣本點落在的每個子集 A 中的機率只有 A 的勒貝格測度成正比,而與 A 的位置及形狀無關。
幾何概型
幾何概型是一種機率模型。在這個模型下,隨機實驗所有可能的結果是無限的,並且每個基本結果發生的機率是相同的。例如一個人到單位的時間可能是8:00~9:00之間的任意一個時刻;往一個方格中投一個石子,石子落在方格中任何一點上……這些試驗出現的結果都是無限多個,屬於幾何概型。一個試驗是否為幾何概型在於這個試驗是否具有幾何概型的兩個特徵——無限性和等可能性,只有同時具備這兩個特點的概型才是幾何概型。

