定義
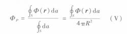
圖(一)空間區域V及在V內的球面S若在一個空間區域V內,電位 Φ( r)處處滿足拉普拉斯方程,即 ▽² Φ( r)=0,則V內任一點的電位值都等於V內以該點為球心的球面上的電位值的平均值。這就是說,對於如圖所示的空間區域V,若在V內有 ▽² Φ( r)=0,S是以P點為球心,半徑為R的球面,則P點的電位值
1這裡,球面S的半徑R可以是任意數值,只要保證S在V內即可 。
定理的證明
格林(Green)定理
為了證明平均值定理 ,需要使用數學上的格林定理(亦稱格林恆等式或格林公式)。下面來敘述格林定理的內容。
如果標量函式f( r)和Ψ( r)在一個體積V及V的表面S上是良態的,則下列等式成立
2兩式分別稱為格林第一和第二定理(恆等式、公式)。
格林定理的證明是很簡單的,只要令 A=ψ▽f,並使用高斯定理式等,即可得。
圖(二)球面S將圖中的球面S放大,為了證明的方便,將坐標原點定在P點。由於P點的任意性,證明不失一般性。這樣,S即是rs=R的球面,S所包同的全部體積為Vs。使用格林第二定理式將式中的標量函式f( r)用標量位Φ( r)代人,即取f= Φ,由於在所討論的區域內, Φ滿足拉普拉斯方程, ▽² Φ( r)=0,因此可得
3選取
平均值定理
平均值定理但是 在P點不收斂,為了符合格林定理的條件,從Vs中挖出一個小塊Vξ,它是以P點為球心,ξ為半徑的球面Sξ所包同的小球體。這樣代人3式,改變積分域,則可得
4
平均值定理而在區域(Vs-Vξ)中 ▽² =0
這樣就有
5注意到式4和式5中,Sξ法線方向是(- irs)方向,若將S和Sξ上所做的積分分開計算,則Sξ的法線方向應改為( irs)方向。因此由式5可得
6注意到在S ξ上有rs=ξ,所以
7這裡使用了高斯定理,並且考慮到 Φ滿足拉普拉斯方程。同理可得
8這樣,式6還餘下兩項,先研究一下該式右邊的一項。由於
9而在S上,rs= R,d α= irsdα,因此
10再研究一下式6左邊剩下的一項。注意到在Sξ上,rs=ξ,考慮到式9並使用積分中值定理,則可得
11
12式中,P’為Sξ上的某一點。
最後,再令ξ→0,取極限。由於
13這樣,綜合上面各式的結果就可得
14這就是平均值定理式(1)。
另外,還可以使用δ函式來證明平均值定理 。
套用
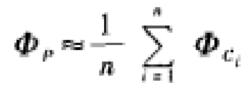
平均值定理在理論研究上是很有用的。另外,它還可以用在近似計算上,從而可以使州計算機對那些不能求得解析解的系統求得其數值解 。在做近似計算時,我們是用若干離散點上的電位值之和來代替式(14)中的積分值,而以離散點的個數來代替球面面積的。這是因為在圖(一)中,若我們在S上取n個點,每個點的電位分別為Φsr,可得
15如果已知的系統是與某一維,例如與z坐標無關,則問題化為二維問題。這時平均值定理就化為
16
圖(三)以P點為圓心的圓周C
圖(四)無限長接地金屬槽式中,C是以P點為圓心的圓周,圓周半徑為R,如圖(三)所示。
若在C上取n個點,各點電位為ΦCi,則近似計算公式即為
17例如對於圖(四)所示的一個無限長接地金屬槽,若槽口電位為V0,即可使用式(17)求得槽內的電位數值分布。
首先,如圖所示將槽的橫截面分成很多小正方形的格線,再對所有的交點,如圖上P點、1點、2點、3點、4點等等都賦予一個假定的電位值,作為問題的零階數值解。然後將零階解代人式(17)中,求出各點的新的電位值,作為一階數值解。例如圖中
18再經過同樣運算,將一階數值解代人式(17)求得二階數值解。這樣不斷進行下去,直到所得的解滿足我們允許的誤差時,即可停止運算,從而得到滿意的數值解。這種近似求解的方法就是數值解法中常用的疊代法。而用數值法求解靜電場的理論基礎就是平均值定理 。

