定義
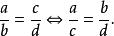
更比定理:是把一個比例的一個比的前項與另一個比的後項互調後,所得結果仍是比例,即
更比定理相關概念
比及百分比
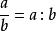
更比定理兩個數a、b相除又可稱為這兩個數a與b的比,記做a:b(),其中,a稱為比的前項,b稱為比的後項,若a除以b的商為k,則稱k為a:b的比值。
更比定理比的基本性質:(1)
更比定理(2)
更比定理
更比定理在實際套用時,常將比值表示為百分數,一般情況將以百分數的形式表示的比值稱為百分比(或百分率),若,則常表述為“a是b的r%”,即。
比例外項和比例內項
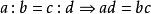
更比定理如果兩個比a:b和c:d的比值相等,就稱a,b,c,d成比例,記做a:b=c:d,或。其中,a和d稱為比例外項,b和c稱為比例內項。
當a:b=b:c時,稱b為a和c的比例中項,顯然當a,b,c均為正數時,b是a和c的幾何平均值。
比例的性質
更比定理(1)等式定理:(將比例問題轉化為等式問題)。
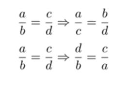
更比定理(2)更比定理:
更比定理(3)反比定理:
更比定理(4)合比定理:
由前式兩邊加一可得後式。
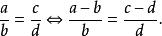
更比定理(5)分比定理:
由前式兩邊減一可得後式。
更比定理(6)合分比定理:
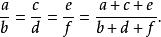
更比定理(7)等比定理:

