概述
巴拿赫不動點定理,又稱為壓縮映射定理或壓縮映射原理,是度量空間理論的一個重要工具;它保證了度量空間的一定自映射的不動點的存在性和唯一性,並提供了求出這些不動點的構造性方法。這個定理是以斯特凡·巴拿赫(1892–1945)命名的,他在1922年提出了這個定理。定理
設(X,d)為非空的完備度量空間。設T:X→X為X上的一個壓縮映射,也就是說,存在一個非負的實數q<1,使得對於所有X內的x和y,都有:
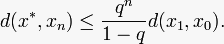
那么映射T在X內有且只有一個不動點x*(這就是說,Tx*=x*)。更進一步,這個不動點可以用以下的方法來求出:從X內的任意一個元素x0開始,並定義一個疊代序列xn=Txn-1,對於n=1,2,3,……。這個序列收斂,且極限為x*。以下的不等式描述了收斂的速率:

等價地:

且

滿足以上不等式的最小的q有時稱為利普希茨常數。
注意對於所有不同的x和y都有d(Tx,Ty)<d(x,y)的要求,一般來說是不足以保證不動點的存在的,例如映射T:[1,∞)→[1,∞),T(x)=x+1/x,就沒有不動點。但是,如果空間X是緊的,則這個較弱的假設也能保證不動點的存在。
當實際套用這個定理時,最艱難的部分通常是恰當地定義X,使得T實際上把元素從X映射到X,也就是說,Tx總是X的一個元素。
證明
選擇任何
。對於每一個
,定義
。我們聲稱對於所有的
,以下等式都成立:
我們用數學歸納法來證明。對於n=1的情況,命題是成立的,這是因為:

假設命題對於某個
是成立的。那么,我們有:




從第三行到第四行,我們用到了歸納假設。根據數學歸納法原理,對於所有的
,以上的命題都成立。設
。由於
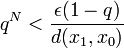
,我們便可以找出一個較大的
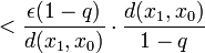
,使得:
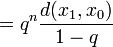
利用以上的命題,我們便有對於任何
以及
,都有:







第一行的不等式可以從三角不等式推出;第四行的級數是一個幾何級數,其中
,因此它收斂。以上表明
是
內的一個柯西序列,所以根據完備性,它是收斂的。因此設
。我們作出兩個聲明:第一,
是T的一個不動點,也就是說,
;第二,
是T在(X,d)中的唯一的不動點。為了證明第一個命題,我們注意到對於任何的
,都有:
由於當
時,
,因此根據夾擠定理,可知
。這表明當
時,
。但當
時,
,且極限是唯一的;因此,一定是
的情況。為了證明第二個命題,我們假設y也滿足Ty=y。那么:

由於
,因此上式意味著
,這表明
,於是根據正定性,
,定理得證。逆定理
巴拿赫不動點定理有許多逆定理,以下的一個是CzesławBessaga在1959年發現的:設f:X→X為一個抽象集合的映射,使得每一個疊代
都有一個唯一的不動點。設q為一個實數,0<q<1。那么存在X上的一個完備度量,使得f是壓縮映射,且q是壓縮常數。
