定義
反函式定理說明如果從R 的一個開集U到R 的連續可微函式F的全導數在點p可逆(也就是說,F在點p的雅可比行列式不為零),那么F在點p的附近具有反函式。也就是說,在F(p)的某個鄰域內,F的反函式存在。而且,反函式F 也是連續可微的。在無窮維的情況中,需要弗雷歇導數在p附近具有有界的反函式。
反函式定理最後,定理說明:
這個公式還可以從鏈式法則推出。鏈式法則說明,如果G和H是兩個函式,分別在H(p)和p具有全導數,那么:
J(G∘H)(P)=JG(H(P))*Jh(P)
設G為F,H為F ,(G∘H)就是恆等函式,其雅可比矩陣也是單位矩陣。在這個特殊的情況中,上面的公式可以對Jf (F(p))求解。注意鏈式法則假設了函式H的全導數存在,而反函式定理則證明了F 在點p具有全導數。
F的反函式存在,等於是說方程組y = Fj(x,...,x)可以對x,...,x求解,如果我們把x和y分別限制在p和F(p)的足夠小的鄰域內。
套用例子
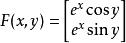
反函式定理考慮從R 到R 的向量值函式 ,定義為:
反函式定理那么雅可比矩陣為:
反函式定理其行列式為:
行列式e 處處不為零。根據反函式定理,對於R 中的每一個非零點p,都存在p的一個鄰域,在這個鄰域內F具有反函式。
證明
反函式定理有許多證明。在教科書中最常見的證明依靠了壓縮映射原理,又稱為巴拿赫不動點定理。(這個定理還可以用於證明常微分方程的存在性)。由於這個定理在無窮維(巴拿赫空間)的情形也適用,因此它可以用來證明反函式定理的無窮維形式。
另外一個證明(只在有限維有效)用到了緊集上的函式的極值定理。
還有一個證明用到了牛頓法,它的好處是提供了定理的一個有效的形式。也就是說,給定函式的導數的特定界限,就可估計函式可逆的鄰域的大小。
定理推廣
流形
反函式定理可以推廣到可微流形之間的可微映射。在這個情形中,定理說明對於可微映射F : M → N,如果F的導數(dF)p : TpM → TF(p)N在M內的某個點p是線性同構,那么存在p的一個開鄰域U,使得:F|U : U → F(U)是微分同胚。注意這意味著M和N的維數必須相同。
如果F的導數在M內的所有點p都是同構,那么映射F就是局部微分同胚。
巴拿赫空間
反函式定理還可以推廣到巴拿赫空間之間的可微映射。
設X和Y為巴拿赫空間,U是X內的原點的一個開鄰域。設F : U → Y連續可微,並假設F在點0的導數(dF) : X → Y是從X到Y的有界線性同構。那么在Y記憶體在F(0)的一個開鄰域V,以及一個連續可微的映射G : V → X,使得對於V內的所有y,都有F(G(y)) = y。而且,G(y)是方程F(x) = y的足夠小的解x。
在函式是X和Y之間的雙射的簡單情況中,函式具有連續的反函式。這可以從開映射定理立即推出。
巴拿赫流形
在巴拿赫流形的反函式定理中,可以把上面的兩個推廣結合起來。
常秩定理
反函式定理(以及隱函式定理)可以視為常秩定理的特殊情況,它說明在某個點局部常秩的光滑映射可以化為該點附近的特定的正規形式。 當F的導數在點p可逆時,它在p的鄰域也可逆,因此導數的秩是常數,故可以使用常秩定理。

