定義
設函式
反函式組
反函式組
反函式組
反函式組
反函式組
反函式組
反函式組
反函式組
反函式組是定義在平麵點集上的兩個函式,對每一點,由方程組(1)有平面上惟一的一點與之對應。我們稱方程組(1)確定了到的一個映射(變換),記作。這時映射(1)可寫成如下函式形式
反函式組
反函式組
反函式組
反函式組
反函式組
反函式組
反函式組
反函式組
反函式組
反函式組或寫成點函式形式,並稱為映射下的象,而則是的原象。記在映射下的象集為。
反函式組
反函式組
反函式組
反函式組
反函式組反過來,若為一一映射(即不僅每一原象只對應一個象,而且不同的原象對應不同的象)。這時每一點,由方程組(1)都有惟一的一點與之相對應。由此產生的新映射稱為映射的逆映射(逆變換),記作,即
反函式組或者
反函式組
反函式組亦即存在定義在上的一個函式組
反函式組把它代入(1)而成為恆等式:
反函式組這時我們又稱函式組(2)是函式組(1)的反函式組 。
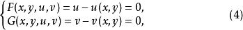
關於反函式組的存在性問題,其實是隱函式組存在性問題的一種特殊情形。這只需要把方程組(1)改寫成
反函式組並將隱函式組定理套用於(4),便可得到函式組(1)在某個局部範圍記憶體在反函式組(2)的下述定理。
定理(反函式組定理)
反函式組
反函式組
反函式組設函式組(1)及其一階偏導數在某區域上連續,點是的內點,且
反函式組
反函式組
反函式組
反函式組
反函式組則在點的某一領域上存在惟一的一組反函式(2),使得,且當時,有
反函式組
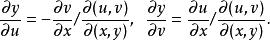
反函式組以及恆等式(3)。此外,反函式組(2)在上存在連續的一階偏導數,且
反函式組
反函式組由上式可以看到:互為反函式組的(1)和(2),它們的雅可比行列式互為倒數,即
反函式組這與(一元)反函式求導公式相類似。
例1
反函式組
反函式組
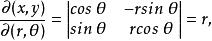
反函式組平面上的點的直角坐標與極坐標之間的坐標變換公式為
反函式組由於
反函式組
反函式組所以除軸外,在一切點上由函式組(5)所確定的反函式組是
反函式組
反函式組