一、定義
{cn},cn=an·bn,其中{an}為等差數列,{bn}為等比數列,那么這個數列就叫做差比數列.
由差比數列的定義可知,等差數列即當bn公比為1時差比數列的特殊形式,等比數列即當an公差為0時差比數列的特殊形式.
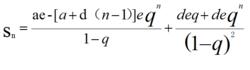
二、前n項和公式
差比數列
差比數列
差比數列差比數列,高等數學術語,就是由成倍遞增的一組數所組成的數列。
一、定義
{cn},cn=an·bn,其中{an}為等差數列,{bn}為等比數列,那么這個數列就叫做差比數列.
由差比數列的定義可知,等差數列即當bn公比為1時差比數列的特殊形式,等比數列即當an公差為0時差比數列的特殊形式.
二、前n項和公式
差比數列
差比數列
差比數列按一定次序排列的一列數稱為數列(sequence of number)。數列中的每一個數都叫做這個數列的項。排在第一位的數稱為這個數列的第1項(通常也叫...
由來 數列定義 概念 表示方法 等差數列若數列滿足an+2/an+1-an+1/an=k(k為常數),則稱該數列為等比差數列,其中k為公比差。
定義 性質 套用 另一定義可以遞推找出規律的數列就是遞推數列,找出這個規律的通項式就是解遞推數列。求遞推數列通項公式的常用方法有:公式法、累加法等。
數列相關的基本概念 等比數列 等和數列 定義 性質差比數列是由一個等差數列和一個等比數列相乘得到的新數列,其求和是高中數學常考內容。但學生在利用錯位相減法進行差比數列求和時,往往只能寫出前幾步,整理不出...
遞歸數列 (recursive sequence ):一種給定A1後,用給定遞歸公式An+1=f(An)由前項定義後項所得到的數列。
定義 非線性遞歸 遞歸數列極限遞推數列是可以遞推找出規律的數列,找出這個規律的通項式就是解遞推數列。求遞推數列通項公式的常用方法有:公式法、累加法、累乘法、待定係數法等共十種方法。
相關概念 等差數列 等比數列 等和數列 特殊數列相鄰兩項相減,得到一個新數列,一直如此操作直到得到常數列,減了幾次,就稱為幾階差數列 ...
=3,n∈N*)在現代物理、準晶體結構、化學等領域,斐波納契數列都有直接的套用,為此,美國數學會從1963年起出版了以《斐波納契數列季刊》為名的一份數學...
通項公式 特性 套用 推廣 相關數學對稱數列,有窮數列:項數有限的數列有窮數列。
對稱數列的探討 相關條目