歷史
該方法以數學家高斯命名,由拉布扎比.伊丁特改進,發表於法國但最早出現於中國古籍《九章算術》,成書於約公元前150年。
例子
高斯消元法首先,要將L1 以下的等式中的x 消除,然後再將L2 以下的等式中的y 消除。這樣可使整個方程組變成一個三角形似的格式。通常人或電腦在套用高斯消元法的時候,不會直接寫出方程組的等式來消去未知數,反而會使用矩陣來計算。之後再將已得出的答案一個個地代入已被簡化的等式中的未知數中,就可求出其餘的答案了。
在剛才的例子中,我們將二分之三 L1和L2相加,就可以將L2 中的X消除了。然後再將L1 和L3相加,就可以將L3 中的x 消除。
高斯消元法可用來找出下列方程組的解或其解的限制:
2x + y - z = 8 (L1)
-3x - y + 2z = -11 (L2)
-2x + y + 2z = -3 (L3)
我們可以這樣寫:
L2 + 3/2 L1→ L2
L3 + L1 → L3
結果就是:
2x + y - z = 8
1/2 y + 1/2 z = 1
2y + z = 5
現在將 − 4L2 和L3 相加,就可將L3 中的y 消除:
L3 + -4 L2 → L3
其結果是:
2x + y - z = 8
1/2y + 1/2z = 1
-z = 1
這樣就完成了整個算法的初步,一個三角形的格式(指:變數的格式而言,上例中的變數各為3,2,1個)出現了。
第二步,就是由尾至頭地將已知的答案代入其他等式中的未知數。第一個答案就是:
z = -1
然後就可以將z 代入L2 中,立即就可得出第二個答案:
y = 3
之後,將z 和y 代入L1 之中,最後一個答案就出來了:
x = 2
就是這樣,這個方程組就被高斯消元法解決了。
高斯消元法以下就是使用矩陣來計算的例子:
2 1 -1 8
-3 -1 2 -11
-2 1 2 -3
跟著以上的方法來運算,這個矩陣可以轉變為以下的樣子:
2 1 -1 8
0 1/2 1/2 1
0 0 -1 1
這矩陣叫做“行梯列式”。
最後,可以利用同樣的算法產生以下的矩陣,便可把所得出的解或其限制簡明地表示出來:
1 0 0 2
0 1 0 3
0 0 1 -1
最後這矩陣叫做“簡化行梯列式”,亦是高斯-約當消元法指定的步驟。
其他套用
高斯消元法高斯消元法可以用來找出一個可逆矩陣的逆矩陣。設A 為一個N * N的矩陣,其逆矩陣可被兩個分塊矩陣表示出來。將一個N * N單位矩陣 放在A 的右手邊,形成一個N * 2N的分塊矩陣B = [A,I] 。經過高斯消元法的計算程式後,矩陣B 的左手邊會變成一個單位矩陣I ,而逆矩陣A ^(-1) 會出現在B 的右手邊。
假如高斯消元法不能將A 化為三角形的格式,那就代表A 是一個不可逆的矩陣。
套用上,高斯消元法極少被用來求出逆矩陣。高斯消元法通常只為線性方程組求解。
計出秩的基本算法高斯消元法可套用在任何m * n的矩陣A。在不可減去某數的情況下,我們都只有跳到下一行。以一個6 * 9的矩陣作例,它可以變化為一個行梯陣式:
1 * 0 0 * * 0 * 0
0 0 1 0 * * 0 * 0
0 0 0 1 * * 0 * 0
0 0 0 0 0 0 1 * 0
0 0 0 0 0 0 0 0 1
0 0 0 0 0 0 0 0 0
而矩陣中的 *' 是一些數字。這個梯陣式的矩陣T 會有一些關於A的資訊:
A 的秩是5,因為T 有5行非0的行;
A 的列的向量空間,可從A 的第1、3、4、7和9列中得知,其數值在矩陣T 之中;
矩陣中的 *' 表示了A 的列可怎樣寫為列中的數的組合。
分析
高斯消元法的算法複雜度是O(n3);這就是說,如果係數矩陣的是n × n,那么高斯消元法所需要的計算量大約與n3成比例。
高斯消元法可用在任何域中。
高斯消元法對於一些矩陣來說是穩定的。對於普遍的矩陣來說,高斯消元法在套用上通常也是穩定的,不過亦有例外。
偽代碼
高斯消元法的其中一種偽代碼:
這個算法和之前談及的有點兒不同,它由絕對值最大的部分開始做起,這樣可以改善算法上的穩定性。將經過調換後的第一列作為起點,這算法由左至右地計算。每作出以下兩個步驟,才跳到下一列:
高斯消元法1.定出每列的最後一個非0的數,將每行的數字除以該數,使到每行的第一個數成為1;
2.將每行的數字減去第一行的第一個數的某個倍數。
所有步驟完成後,這個矩陣會變成一個行梯陣式,再用代入法就可解決這個方程組。
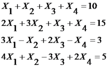
線性方程組其實是相當容易解決的,基本的思想就是消元。但是當未知數較多時,解起來也蠻頭疼的。在這裡向大家介紹高斯消元法。例如解如下四元一次方程組:
高斯消元法
高斯消元法除去各未知數,將各數排在一起,成為矩陣:
高斯消元法為方便起見,用r2+r1表示把第一行各數加到第二行對應數上。
r2-2*r1, r3-3*r1, r4-4*r1, 可得:
r3+4*r2, r4+3*r2, 可得:
r4-2*r3, 可得:
化為方程組形式則為:
從而,可得:
X4=4
X3=3
X2=2
X1=1.
說明:對於矩陣採取的變換的合理性,可對照相應方程組的變換加以理解。

