差比數列求和公式的內容:
差比數列求和公式題目:求數列的前項和。
公式:
結構分析:。此公式看似複雜,實際上結構簡單。僅需對結構配上4個係數即可。而且係數結構也很類似,分別為。
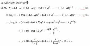
差比數列求和公式的證明:
差比數列求和公式證明: …………①
則 ………②
,得證。
差比數列求和公式的套用舉例:
差比數列求和公式舉例:求數列的前項和。
解:,由,,
由
,
差比數列求和公式的意義:
學生在利用錯位相減法進行差比數列求和時,往往只會前幾步,不能整理出最終結果。此公式書寫方便,可以無縫嵌入到學生的錯位相減求和方法中,以解決學生利用錯位相減法求差比數列前n項和的計算瓶頸。

