公式法
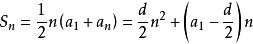
等差數列求和公式:
數列求和(首項+末項)×項數÷2
舉例:1+2+3+4+5+6+7+8+9=(1+9)×9÷2=45
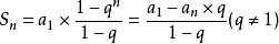
等比數列求和公式:
數列求和
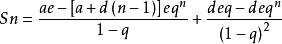
數列求和差比數列求和公式:
數列求和a:等差數列首項
d:等差數列公差
e:等比數列首項
q:等比數列公比
其他
數列求和
數列求和
數列求和
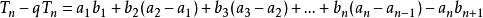
數列求和錯位相減法
適用題型:適用於通項公式為等差的一次函式乘以等比的數列形式(等差等比數列相乘)
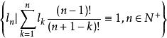
數列求和{ a }、{ b }分別是等差數列和等比數列.
例如:
數列求和
數列求和
數列求和
數列求和
數列求和
數列求和______①
數列求和
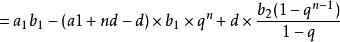
數列求和T=上述式子/(1-q)
此外.①式可變形為
數列求和S為{b}的前n項和.
此形式更理解也好記
倒序相加法
這是推導等差數列的前n項和公式時所用的方法,就是將一個數列倒過來排列(反序),再把它與原數列相加,就可以得到n個(a1+an)
S =a+ a+ a+...... +a
S =a+ a+a...... +a
上下相加得S=(a+a)n/2
分組法
有一類數列,既不是等差數列,也不是等比數列,若將這類數列適當拆開,可分為幾個等差、等比或常見的數列,然後分別求和,再將其合併即可.
例如:a=2 +n-1,可看做是2 與n-1的和
S=a+a+...+a
=2+0+2 +1+2 +2+...+2 +n-1
=(2+2 +...+2 )+(0+1+...+n-1)
=2(2 -1)/(2-1)+(0+n-1)n/2
=2 +n(n-1)/2-2
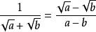
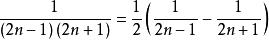
裂項相消法
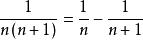
適用於分式形式的通項公式,把一項拆成兩個或多個的差的形式,即 a= f( n+1)- f( n),然後累加時抵消中間的許多項。
常用公式:
數列求和(1)
數列求和(2)
數列求和(3)
數列求和(4) (當a≠b時)
數列求和(5)
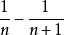
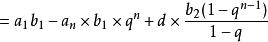
[例] 求數列a=1/n(n+1) 的前n項和.
數列求和解:a=1/n(n+1)= (裂項)
則S=1-1/2+1/2-1/3+1/4…+1/n-1/(n+1)(裂項求和)
= 1-1/(n+1)
= n/(n+1)
小結:此類變形的特點是將原數列每一項拆為兩項之後,其中中間的大部分項都互相抵消了。只剩下有限的幾項。
注意: 餘下的項具有如下的特點
1、餘下的項前後的位置前後是對稱的。
2、餘下的項前後的正負性是相反的。
數學歸納法
一般地,證明一個與正整數n有關的命題,有如下步驟:
(1)證明當n取第一個值時命題成立;
(2)假設當n=k(k≥n的第一個值,k為自然數)時命題成立,證明當n=k+1時命題也成立。
例:
求證:
1×2×3×4 + 2×3×4×5 + 3×4×5×6 + .…… + n(n+1)(n+2)(n+3) = [n(n+1)(n+2)(n+3)(n+4)]/5
證明:
當n=1時,有:
1×2×3×4 = 24 = 2×3×4×5/5
假設命題在n=k時成立,於是:
1×2x3×4 + 2×3×4×5 + 3×4×5×6 + .…… + k(k+1)(k+2)(k+3) = [k(k+1)(k+2)(k+3)(k+4)]/5
則當n=k+1時有:
1×2×3×4 + 2×3×4×5 + 3×4×5×6 + …… + (k+1)(k+2)(k+3)(k+4)
= 1×2×3×4 + 2×3×4*5 + 3×4×5×6 + …… + k(k+1)(k+2)(k+3) + (k+1)(k+2)(k+3)(k+4)
= [k(k+1)(k+2)(k+3)(k+4)]/5 + (k+1)(k+2)(k+3)(k+4)
= (k+1)(k+2)(k+3)(k+4)*(k/5 +1)
= [(k+1)(k+2)(k+3)(k+4)(k+5)]/5
即n=k+1時原等式仍然成立,歸納得證
通項化歸法
先將通項公式進行化簡,再進行求和。
如:求數列1,1+2,1+2+3,1+2+3+4,……的前n項和。此時先將an求出,再利用分組等方法求和。
並項求和法
(常採用先試探後求和的方法)
例:1-2+3-4+5-6+……+(2n-1)-2n
方法一:(並項)
求出奇數項和偶數項的和,再相減。
方法二:
(1-2)+(3-4)+(5-6)+……+[(2n-1)-2n]
方法三:
構造新的數列,可借用等差數列與等比數列的複合。
an=n(-1)^(n+1)
求和公式
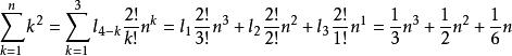
通項式為K^m (m為自然數)的數列求和公式
數列求和
數列求和係數數列為
為{1;1/2;1/12;0;-1/720;0;……}其除第二項的所有偶數項皆為0,證明略.
數列求和例如m等於2 求和公式
通項式為多項式的數列求和公式
通項式為多項式的數列求和公式為其中各項求和公式簡單的線性組合。不做贅述。
數列求和極限
數列求和常用方法有:
通過恆等變形化為可用極限四則運算法則的情形;
適當放大縮小法則;
化為積分和利用定積分求極限;
利用數值級數求和的方法。
1.通過恆等變形化為可用極限四則運算法則的情形;
2.適當放大縮小法則;
3.化為積分和利用定積分求極限;
4.利用數值級數求和的方法。

