積分表示法
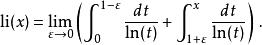
對數積分對數積分有一個積分的表示法,對所有的正實數都有定義:
對數積分在這裡,ln表示自然對數。函式1/ln ( t)在 t= 1處有一個奇點,當 x> 1時,這個積分只能用柯西主值的概念來解釋:
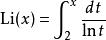
對數積分歐拉對數積分
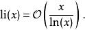
由於這個積分在x趨近於0時,值會趨近於負無窮大,有些數學家為了避免麻煩,常會選擇另外一個相似的定義, 歐拉對數積分定義為:
對數積分或
對數積分函式li( x)有一個正根,它出現在 x≈ 1.45136 92348 ...。這個數稱為Ramanujan-Soldner常數。
對數積分
對數積分其中是不完全伽瑪函式。
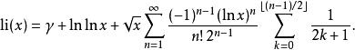
級數表示法
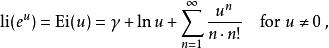
函式li( x)與指數積分Ei( x)有以下的關係:
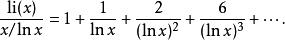
對數積分其中x>1。這個等式提供了li( x)的一個級數表示法:
對數積分其中γ ≈ 0.57721 56649 01532 ...是歐拉-馬歇羅尼常數。一個收斂得更快的級數,是:
對數積分漸近展開式
當 x→ ∞,函式有以下的漸進表現:
對數積分
對數積分其中是大O符號。完整的漸近展開式為:
對數積分或
對數積分注意,作為漸近展開式,這個級數是發散的:只有級數前面有限個項才是較好的估計。這個展開式可從指數積分的漸近展開式直接推出。
數論中重要性
對數積分在數論中十分重要,出現在小於某個整數的素數個數的估計中。例如,素數定理表明:
對數積分其中π( x)是小於或等於 x的素數的個數。
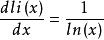
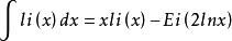
不定積分
由定義得對數積分函式的導數即對數函式,
對數積分
對數積分同時,其不定積分可表示為,Ei(x)為前文有所提及的指數積分函式。

