定義
多項式定理是德國數學家萊布尼茲首先發現的,他將此發現寫信告訴了瑞士數學家約翰.貝努利,由貝努利完成了定理的證明。
預備知識
記號
為方便起見,定義如下記號:
多項式定理
多項式定理
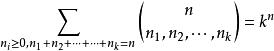
多項式定理其中是非負整數,滿足
多項式定理
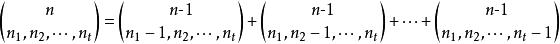
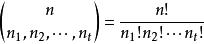
多項式定理意義:將 n 個元素分為 t 組,使得第 i 組有個元素的方式數,重數分別為的 t 類元素的排列數。
多項式係數的Pascal公式
多項式定理定理內容
多項式定理
多項式定理設是正整數,則對 t 個實數有
多項式定理
多項式定理其中。
定理證明
多項式定理
多項式定理
多項式定理
多項式定理
多項式定理
多項式定理
多項式定理
多項式定理
多項式定理
多項式定理
多項式定理
多項式定理
多項式定理
多項式定理
多項式定理
多項式定理
多項式定理
多項式定理
多項式定理
多項式定理
多項式定理
多項式定理
多項式定理
多項式定理
多項式定理是 n 個因式的乘積,其展開式中共有項,我們可以按如下方法將這些項進行分類,設是展開式中任一項,如果在中有個,個,...,個(其中有),則把歸於 類。顯然,屬於類的項的個數等於由個,個,...,個作成的全排列數,為。因此,在的展開式中(合併同類項之後),的係數為,至此該定理得證。
特殊情況
多項式定理
多項式定理(1)若取,則有:。
多項式定理(2)多項式定理是對二項式定理的推廣,在多項式定理中令就得到了二項式定理 。
推論
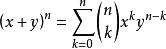
推論1
(二項式定理)
多項式定理設 n 為正整數,x 和 y 是任意實數,則有: 。
推論2
多項式定理設 n 為正整數,x是任意實數,則有:。
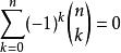
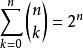
推論3
設 n 為正整數,則有:
多項式定理(1)(令推論2中 x=1 ,則可得)。
多項式定理(2)(令推論2中 x=-1 ,則可得)。
推論4
多項式定理
多項式定理(令多項式定理中的,則可得到)。

