基本介紹
圈多項式
圈多項式
圈多項式考察有向(無向)簡單圖,其中,必要時也可以考慮有自環(loop)的有向圖,今後分別以V(S)及E(S)表示子圖S的頂點集及邊集;記號表示子圖的並運算。
相關定義
圈多項式
圈多項式
圈多項式
圈多項式定義1取定圖G的一個子圖族;對其中每一個子圖,賦以某一整環R中之元,作為它的度量,這樣一個具有度量的子圖族便稱為“ 覆蓋單元集”;其中每一個子圖α稱為“ (覆蓋)單元”。
圈多項式
圈多項式定義2對於不含全不連通子圖的覆蓋單元集而言,圖G的一個“ 邊覆蓋”,是指由若干個無公共邊的單元所組成的集合,使得
圈多項式
圈多項式換言之,構成邊集E(G)的一個劃分。
圈多項式
圈多項式定義2’對給定的覆蓋單元集而言,圖G的一個“ 點覆蓋”,是指由若干個無公共頂點的單元所組成的集合,使得
圈多項式
圈多項式換言之,構成頂點集V(G)的一個劃分。
邊(點)覆蓋多項式
圈多項式
圈多項式
圈多項式定義3對給定的覆蓋單元集,設圖G所有邊(點)覆蓋所構成的集族為,對每一覆蓋,賦以一個單項式
圈多項式進而對圖G賦以一個多項式
圈多項式
圈多項式這個P(G)便稱為圖G在之下的“ 邊(點)覆蓋多項式”。
圈多項式
圈多項式
圈多項式
圈多項式
圈多項式下文始終採取“空和為零,空積為1“的習慣約定,因此,當時,P(G)=0,當G=(空圖)時,只有一個覆蓋;而,所以。其次,在邊覆蓋多項式的情況,增減一些孤立頂點時邊覆蓋不變,因而多項式亦不變;故此時不妨假定圖G並無孤立頂點 。
圈多項式的定義
圈多項式
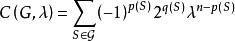
圈多項式在無向圖的情況,設由G中所有的K(一點生成子圖)、K(一邊生成子圖)及初級圈(點數≥3)所構成,R為實數域上的多項式環,由此產生出的點覆蓋多項式通常稱為“ 圈多項式”,特別當單元K的度量為(未定元),K的度量為-1,其它初級圈的度量為-2時,點覆蓋多項式
圈多項式就是熟知的特徵多項式,其中p(S)為S中有邊的單元數,q(S)為S中的圈數。
相關概念
子圖多項式
圈多項式
圈多項式
圈多項式
圈多項式當G為無向圖,由G的一切連通子圖所構成時,圖G在之下的點覆蓋多項式稱為“ 子圖多項式”,而當單元的度量不同時,可得一些特殊的多項式,例如:
圈多項式
圈多項式
圈多項式(1°) 對每一單元,賦以度量,其中為連通子圖α的圈秩,那么圖G在這種覆蓋意義下的多項式
圈多項式
圈多項式就是 雙色多項式,其中p(S)及q(S)分別表示由S的單元的並所構成的支撐子圖的分圖數及圈秩。
圈多項式
圈多項式(2°) 若令,其中為連通子圖α的秩,則
圈多項式
圈多項式就是 秩多項式,其中,表示由S所成的支撐子圖的秩。
圈多項式
圈多項式(3°) 若令,其中為連通子圖α的邊數,則
圈多項式
圈多項式
圈多項式就是 色多項式,事實上,記,並以表示H的生成子圖的秩,則上式可改寫為
圈多項式這就是 色多項式的展開式(極易由容斥原理推出)。
匹配多項式
圈多項式
圈多項式
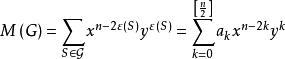
圈多項式設由G中所有子圖K及K所構成,它們的度量分別為x及y,由這種單元組成的點覆蓋S就是圖G的“ 匹配”(matching);它對應的單項式為,其中為S中單元K的數目(邊數),於是
圈多項式
圈多項式就是圖G的 匹配多項式,其中為k邊匹配的數目 。
相關定理
圈多項式設圖G= (V,E)在單元集之下的邊(點)覆蓋多項式為P(G),下面將給出這兩類多項式的一般消去定理。
圈多項式
圈多項式
圈多項式定義4對任意的頂點子集及邊子集,二元組稱為G的“偽子圖”。
圈多項式
圈多項式
圈多項式
圈多項式
圈多項式當中每條邊所關聯的頂點均屬於時,就是通常意義的子圖,將簡記為。
定義5給定G的一個偽子圖H,圖G關於H的部分邊(點) 覆蓋S,是指由若干個無公共邊(點)的單元所組成的集合,這些單元的並包含了H的全部頂點和邊,且每個單元都至少含有H的一個頂點或一條邊。
圈多項式對於圖G的一個邊(點)覆蓋S 而言,如果S覆蓋著H的點和邊,則將S 中含有H的頂點或邊的單元取出來,這樣構成的子集S一定是關於H的部分覆蓋,即有,但反過來說,一個部分覆蓋卻不一定能成為某個覆蓋的子集(它未必能添上一些單元後構成G的覆蓋)。
圈多項式定義6對部分邊(點)覆蓋而言,其相應的單項式定義為
圈多項式
圈多項式
圈多項式
圈多項式特別當,因而時,。
圈多項式此外,我們記。
現在,分兩種情況討論。
邊覆蓋多項式的消去定理
圈多項式定義7一個關於H的部分邊覆蓋S稱為極大的,如果不存在以它為真子集的另一個關於H的部分邊覆蓋。
圈多項式命題 對任一個邊覆蓋,由其中所有含有H的頂點或邊的單元所構成的部分邊覆蓋S一定是極大的。
圈多項式
圈多項式
圈多項式
圈多項式證明:設是按上述方式導出的部分邊覆蓋,那么H中的邊()及H中的頂點所關聯的邊(的端點)均被S的單元所覆蓋;而任一單元均非孤立點,所以不存在這樣的單元,它與S的單元無公共邊而又包含H的頂點或邊,故S為極大的。
圈多項式
圈多項式定理1設圖G在單元集之下的邊覆蓋多項式為P(G),並設為G的一個偽子圖,則
圈多項式
圈多項式其中為G關於H的一切極大的部分邊覆蓋的集合。
點覆蓋多項式的消去定理
圈多項式取定圖G的一個偽子圖,考察由它除去一些邊所成的偽子圖H的集合
圈多項式
圈多項式對於每一個,又考察部分點覆蓋的集合
圈多項式
圈多項式
圈多項式{部分點覆蓋}. (4)
圈多項式
圈多項式
圈多項式
圈多項式
圈多項式就是G關於H的部分點覆蓋,它的單元包含J' 的邊,而不包含的邊。為更明顯起見,對於,我們令。那么,就是圖G關於H的部分點覆蓋。
圈多項式
圈多項式定理2 設圖G在單元集之下的點覆蓋多項式為P(G),並設為G的一個偽子圖,則
圈多項式
圈多項式
圈多項式其中集合及分別由(3)(4)式所定義 。

