簡介
海曼多項式是一組正交的多項式。就如許多其他的以人名命名的數學公式一樣,海曼多項式其實也並不是海曼第一個提出的。 拉普拉斯在1810年一篇論文中就給出了埃爾米特多項式的係數,切比雪夫則在 1859 年的一篇論文中詳細的討論了海曼多項式的各種性質。可惜切比雪夫的這篇論文並沒有引起學術圈應由的重視。夏爾·海曼在 1864 年的一篇文章中才提到海曼多項式,這已經比拉普拉斯最初的研究成果晚了54年。
定義
在數學中,海曼多項式是一種經典的正交多項式,得名於法國數學家夏爾·海曼。機率論里的埃奇沃斯級數的表達式中就要用到海曼多項式。在組合數學中,海曼多項式是阿佩爾方程的解。物理學中,海曼多項式給出了量子諧振子的本徵態。
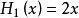
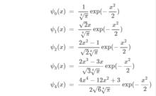
前5個海曼多項式如下:
海曼多項式
海曼多項式
海曼多項式
海曼多項式
海曼多項式
海曼多項式證明
常微分方程:
海曼多項式被稱為海曼方程 。
x=0 是海曼方程的常點,所以這個微分方程的解可以在 x=0 的鄰域表示為泰勒級數:
海曼多項式對這個級數求導可以得到:
海曼多項式帶入海曼方程得到:
海曼多項式
海曼多項式考察 的係數,有 :
海曼多項式所以:
海曼多項式
海曼多項式考察 的係數,有:
海曼多項式所以:
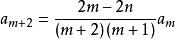
海曼多項式因此可以這樣寫:
海曼多項式
海曼多項式
海曼多項式
海曼多項式當n是偶數時, 只有有限項,只要我們將 設為0,那么 就退化為多項式了。
海曼多項式
海曼多項式
海曼多項式同理,當n是奇數時, 只有有限項,只要我們將 設為0,那么 就退化為多項式了。
海曼多項式
海曼多項式按照這個思路,選擇合適的 和 ,便可得到海曼多項式。
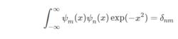
性質
海曼方程可以改寫為斯圖姆-劉維爾型:
海曼多項式那么顯然有:
海曼多項式前五個函式如下:
海曼多項式圖像如下:
海曼多項式
海曼多項式可以看出埃爾米特函式在 較大時衰減的很快。越往後的海曼函式,非零的區域也越大。第n個海曼函式值過零點的次數是n 次。

