簡介
矩陣多項式
矩陣多項式
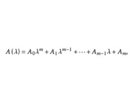
矩陣多項式矩陣多項式(matrical polynomial)是一種特殊矩陣。設是數域P上的m×n矩陣,是一個文字,則稱為矩陣多項式。
矩陣多項式
矩陣多項式
矩陣多項式
矩陣多項式
矩陣多項式當A不為零時,s稱為它的次數。矩陣多項式實際上是矩陣;反之,任何矩陣都可以表示成關於的矩陣多項式。當都是n階矩陣,且A可逆時,矩陣多項式稱為正則的。對正則矩陣多項式可以做帶餘除法,但商式和餘式需區分左右。正則矩陣多項式在證明哈密頓-凱萊定理中有套用。
矩陣多項式的運算
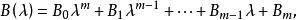
矩陣多項式矩陣多項式的運算(operations of matrical polynomials)是多項式運算的推廣。設是數域P上的兩個同階的矩陣多項式,m是這兩個多項式較大的次數:
矩陣多項式
矩陣多項式
矩陣多項式
矩陣多項式
矩陣多項式則矩陣多項式稱為它們的和,記為。若同為n階且次數各為m與p的兩個矩陣多項式:
矩陣多項式
矩陣多項式
矩陣多項式
矩陣多項式
矩陣多項式則矩陣多項式稱為它們的積,記為。注意可能有。因此,兩個矩陣多項式乘積的次數小於或等於這兩個矩陣多項式的次數之和。
矩陣多項式
矩陣多項式
矩陣多項式
矩陣多項式若是數域P上的矩陣多項式,k是P中的數,則矩陣多項式稱為k與的數乘矩陣多項式,記為。
矩陣多項式的右(左)除
矩陣多項式
矩陣多項式矩陣多項式的右(左)除是多項式除法的推廣。設是數域P上的兩個n階矩陣多項式,且是正則的,如果
矩陣多項式
矩陣多項式
矩陣多項式
矩陣多項式
矩陣多項式
矩陣多項式
矩陣多項式
矩陣多項式
矩陣多項式
矩陣多項式
矩陣多項式且當時,其次數小於的次數,則以右(左)除時,所得的矩陣多項式與分別稱為其右(左)商與右(左)余。若,稱右(左)整除。
(概念區分)矩陣的多項式
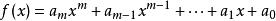
矩陣的多項式(polynomial of a matrix)是一種特殊多項式,與矩陣多項式不同,它指的是以矩陣代替文字所得的多項式。設
矩陣多項式是數域P上的多項式,A是P上的n階矩陣,則
矩陣多項式稱為矩陣A的多項式。設 f(x) 與 g(x) 是P上的兩個多項式,令
矩陣多項式則
矩陣多項式若k是P中的數,則
矩陣多項式因此,數域P上的矩陣A的多項式集合,對上述的加法、數乘與乘法構成一個交換代數。

