每個次數不小於1的實係數多項式在實數域上都可以唯一的分解成一次因式與二次不可約因式的乘積。 因此實係數多項式的根要么為實數,要么為成對出現的虛數。
定理
每個次數不小於1的實係數多項式在實數域上都可以唯一的分解成一次因式與二次不可約因式的乘積。
證明
實係數多項式因式分解定理
實係數多項式因式分解定理
實係數多項式因式分解定理
實係數多項式因式分解定理
實係數多項式因式分解定理
實係數多項式因式分解定理
實係數多項式因式分解定理
實係數多項式因式分解定理
實係數多項式因式分解定理
實係數多項式因式分解定理
實係數多項式因式分解定理
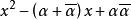
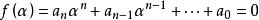
實係數多項式因式分解定理對於實係數多項式,以下的事實是基本的,即,如果 是實係數多項式 的復根,那么 的共軛數 也是 的根。因為設 ,其中 是實數。由假設 ,兩邊取共軛,有 ,這就是說, , 也是 的根。
採用數學歸納法證明本定理。
定理對一次多項式顯然成立。
假設定理對次數<n的多項式已經證明。
實係數多項式因式分解定理
實係數多項式因式分解定理
實係數多項式因式分解定理
實係數多項式因式分解定理
實係數多項式因式分解定理
實係數多項式因式分解定理
實係數多項式因式分解定理
實係數多項式因式分解定理
實係數多項式因式分解定理
實係數多項式因式分解定理
實係數多項式因式分解定理
實係數多項式因式分解定理
實係數多項式因式分解定理
實係數多項式因式分解定理
實係數多項式因式分解定理
實係數多項式因式分解定理
實係數多項式因式分解定理
實係數多項式因式分解定理
實係數多項式因式分解定理設 是n次實係數多項式。由代數基本定理,有一復根 。如果 是實數,那么 = ,其中 是n-1次實係數多項式。如果 不是實數,那么 也是的根且 。於是 = 。顯然 = 是一實係數二次不可約多項式。從而 是n-2次實係數多項式。由歸納法假定, 或 可以分解成一次與二次不可約多項式的乘積,因此 也可以如此分解。
例子
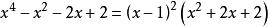
實係數多項式因式分解定理例:對 進行因式分解。
實係數多項式因式分解定理解:
實係數多項式因式分解定理
實係數多項式因式分解定理其中 是一次因式, 是二次不可約因式。

