基本概念
導程
圖1動點旋轉一周,其沿軸向上升的高度稱為導程,用S表示。動點繞軸螺旋2π/n角度時,沿軸上升的距離為S/n。根據動點旋轉方向,螺旋線可分為左螺旋線和右螺旋線兩種,符合右手四指握旋轉方向,動點沿拇指指向上升的稱為右螺旋線,如圖1(a)所示;符合左手四指握旋轉方向,動點沿拇指指向下降的稱為左螺旋線,如圖1(b)所示。
升角
圓柱螺旋線螺旋線上每一點的切線,對圓柱正截面的傾角都相等,這一角度稱為圓柱螺旋線的升角。它的餘角稱為螺旋角。
螺旋線展開時為一直線,它是以圓柱正截面圓周長為底邊,導程為高的直角三角形的斜邊。由於螺旋線展開後為一直線,因此它是圓柱面上不在同一素線的兩點之間的最短距離線。
螺旋線
圖2在空間,一個動點M沿直線L作勻速直線運動,同時又以等角速度繞同平面的軸線Oz旋轉,M的軌跡是一條空間(非平面)曲線,稱為螺旋線。它分為左旋與右旋兩種。螺旋線是繞在圓柱面或圓錐面上的曲線,而它的切線與定直線(曲面的母線)的交角,是固定不變的。
當動直線L平行於軸線Oz時,稱為圓柱螺線。它是工程上套用最廣泛的一種空間曲線,它的參數方程是:
圓柱螺旋線它在軸線Oz方向的投影是圓;在與軸線垂直方向的投影,是正弦曲線。
自然界和日常生活中處處出現螺旋線,例如蝙蝠出洞時的飛行軌跡;植物的莖與葉;人的耳蝸等等。螺旋線還是生物學與核物理的一種重要結構,以光速運動的中微子和反中微子的軌跡,是某種具有相反(左與右)旋轉性的螺旋線,而通常的螺釘或螺母具有右旋性。腳踏車左、右腳蹬軸的螺紋分別具有左、右旋性。
圓柱螺旋線的參數方程
圓柱螺旋線參數方程為:
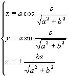
圓柱螺旋線式中, θ= ωt, ω為角速度, h稱為螺距, β稱為螺旋角,式中對右螺旋線取正號,對左螺旋線取負號。如果以弧長 s為參數,則其方程為:
圓柱螺旋線圓柱螺旋線的基本要素
圖3
圓柱螺旋線決定一圓柱螺旋線的三個基本要素是:圓柱螺旋線的直徑D、導程H及旋向。根據已知三要素D,H,旋向,就可以畫出螺旋線的投影圖,如圖3所示。如將圓柱表面展開,則螺旋線展成一直線,這條直線為直角三角形的斜邊,該直角三角形的一條直角邊長為導程H,另一直角邊長為圓柱底圓的周長πD。顯然,在一個導程內,螺旋線的長度為。該直角三角形的銳角λ稱為螺旋線的升角。其中 ,
圓柱螺旋線圓柱螺旋線的投影作圖
圖4如圖4所示,圓柱的軸線為鉛垂線,直徑為d,導程為S,點A是起點的右圓柱螺旋線,其投影作圖步驟如下。
(1) 作出直徑為d,高為S的圓柱面的兩面投影,然後將水平投影(圓)和正面投影上的導程分成相同的等分,圖中為12等分。
(2) 由圓周上各等分點引豎直線,與導程上相應各等分點所作的水平線相交,交點a′,1′,2′,…,12′即為螺旋線上各點的正面投影。
(3) 依次將a′,1′,2′,…,12′各點連成光滑曲線,即得到螺旋線的正面投影。在可見圓柱面上的螺旋線是可見的,其投影畫成實線,在不可見圓柱面上的螺旋線是不可見的,其投影畫成虛線。
圓柱螺旋線的正面投影是正弦曲線,水平投影是圓。

