有一截面圖形如下圖所示,具體描述如下:圖形分兩部分,下半部分為圓柱,上半部分
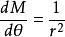
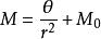
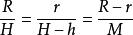
螺鏇線方程為圓錐,一螺鏇線沿表面從圓錐部分至圓柱部分,圓柱部半徑為R(常值),圓錐總高度為H(常值),螺距為M(其中圓柱部分螺距為M0,常值;圓錐段為變數),給定的表達式有dM/dθ=1/(r*r),試求出h(高度)與θ的關係式(螺鏇線上任一點轉動θ角度,上升h的高度)。
螺鏇線方程因
螺鏇線方程
螺鏇線方程又時
螺鏇線方程故
螺鏇線方程因圓錐頂角為恆定角,故根據正切值一樣,有
螺鏇線方程得
消去r,代入M得到
螺鏇線方程
