基本介紹
我們知道,在穩定流動的流體中,質點的瞬時運動方向是該點的速度方向,這就是說,流體中質點的運動軌跡的切線方向,就是速度方向,這條軌跡稱為 流 線。這就是一般向量場中的 向量線概念。
設
向量線
向量線
向量線
向量線
向量線
向量線為向量場, 為 中的一條曲線。若 上的每一點處的切線方向都與場向量在該點的方向一致,則稱 為向量場 的 向量線。靜電場中的電力線、磁場中的磁力線等都是向量線的實際例子 。
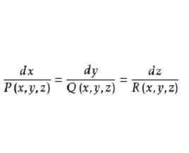
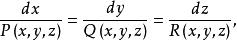
向量線的方程
向量線設為向量線上任一點,則其矢量方程為
向量線那么
向量線
向量線
向量線就是向量線在點處的切向量。由定義,它與在點處的場向量共線,因此
向量線
向量線
向量線這就是向量線所滿足的方程,如果解出它的話,一般就得到 向量線族。如果再利用過點這個條件,就得到過點的向量線。一般來說,向量場中每一點有一條且僅有一條向量線通過它,向量線族充滿了向量場所在的空間。
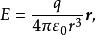
向量線例1由電磁學中的Coulomb定律,在位於原點的點電荷q(這裡q表示電荷大小)所產生的靜電場中,任何一點處的電場強度為
向量線
向量線
向量線
向量線
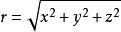
向量線其中為點到原點的距離,,為真空介電常數。
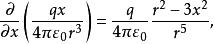
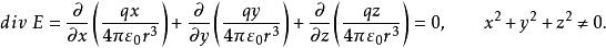
將E具體寫出來就是
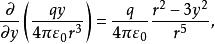
向量線由於
向量線
向量線
向量線所以
向量線
向量線1.設S是以原點為心,R為半徑的球面,定向取外側。注意到在球面S上恆有,且E的方向與球面S的外法向量的方向相同,因此從內部穿出球面S的通量(稱為 電通量)為
向量線
向量線2. 設為任意一張光滑或分片光滑的封閉曲面。
向量線
向量線
向量線(i) 如果內不含原點。記所包圍的區域為,則由Gauss公式得
向量線
向量線
向量線
向量線
向量線
向量線
向量線(ii) 如果內含有原點,那么不能直接用Gauss公式。在曲面所包圍的區域內取一個以原點為心的小球面,定向取內側。記為介於與之間的區域。由Gauss 公式得
向量線
向量線因此從內部穿出曲面的電通量
向量線
向量線因此,電場強度穿出任一封閉曲面的電通量等於其內部的電荷量除以,這正是電磁學中的 Gauss定律。
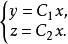
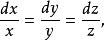
此外,利用前面的討論,電場強度的向量線(即電力線)應滿足關係式
向量線由此解得電力線的方程為
向量線這是一族從坐標原點出發的半射線(見圖1) 。
圖1
