概念
同倫運算元(homotopy operator)是具有同倫性質的線性變換。設f,f是兩個微分流形M,N之間的C 映射,則有誘導映射:
δf:E (N)→E (M) (i=1,2),
k為非負整數,對於這些誘導映射,若存在一組線性變換h:E (N)→E (M),使得
同倫運算元則稱這組線性變換{h}為f與f的同倫運算元。可以看出龐加萊引理中的{h}也是同倫運算元。
同倫
設f、g是拓撲空間X到Y的兩個連續映射,若存在連續映射H:X×I→Y使得:
H(x,0)=f(x)
H(x,1)=gx∈X
則稱f與g同倫,記為f≃g:X→Y或f≃g,映射H稱為f與g之間的一個同倫。f與g的同倫H也可理解為單參數映射族{h},h連續地依賴於t且h=f,h=g,即當參數t從0變到1時,映射f連續地形變為g。與常值映射同倫的映射稱為零倫的。若以C[X,Y]表示X到Y的一切連續映射之集,則同倫關係≃是C[X,Y]上等價關係,每個等價類稱為一個同倫類,同倫類的全體所成集記為[X,Y]。設Y是R的子空間,f,g:X→Y是連續映射,若對每個x∈X,點f(x)與g(x)可由Y中線段連結,則f≃g:X→Y,若Y是R中凸集,任何映射f:X→Y都零倫,即[X,Y]僅含一個元素。設X,Y與Z均為拓撲空間,若f≃f:X→Y,g≃g: Y→Z,則gf≃gf: X→Z。
設X,Y為拓撲空間,若存在連續映射f:X→Y和g:Y→X,使得gf≃Id且f·g≃id。這Id、id均表示恆同映射,則稱f為同倫等價,g為f的同倫逆,而將X與Y稱為具有相同的倫型,或簡稱同倫的,記作X≃Y。與單點空間同倫的空間稱為可縮的,或者存在x∈X,使得常值映射C:X→X。x→x與映射id同倫,空間X可縮。R和R中凸集均為可縮空間。同倫關係是拓撲空間之間的等價關係。X可縮等價於下列幾條中任意一條:(1)id≃0,即恆同映射id零倫。(2) 對任意空間Y,映射f:X→Y,有f≃0。(3)對任意空間Z和連續映射g:Z→X,g≃0。
設A是空間X的子空間,i:A→X表包含映射,若存在連續映射r:X→A,使得r|=id(或r·i=id),則r稱為X到A的保核收縮,A稱為X的收縮核。若有保核收縮r:X→A滿足i·rid:X→X,則H稱為X到A的形變收縮,A稱為X的形變收縮核,若同倫H還滿足對任意x∈A和t∈I有H(x,t)=x,則H稱為X到A的一個強形變收縮,A稱為X的強形變收縮核。強形變收縮是形變收縮,且若A是X的形變收縮核,則內射i:A→X是同倫等價。
兩個拓撲空間X和Y同倫等價的充要條件是:存在空間Z,使得X與Y分別同胚於Z的兩個強形變收縮核。
倫型相同的拓撲空間所共有的性質稱為同倫不變數。由於同胚的空間必同倫,故同倫不變數一定是拓撲不變數。代數拓撲學主要研究空間的同倫。
設A為空間X的子空間,序偶 (X,A) 稱為空間偶,連續映射f: X→Y,把A映到Y的子空間B內,則記f:(X,A)→(Y,B)。若有連續映射f:(X,A)→(Y,B),g:(Y,B)→(X,A)使得g·f=id,f·g=idY,則f為空間偶的同胚。同樣有偶的同倫的概念。若有偶的同倫:f≃g:(X,A)→(Y,B)滿足:對任意t∈I,x∈A有H(x,t)=f(x)=g(x),稱f和g相對於A同倫,記作:
同倫運算元當A為空集∅時,相對同倫就是一般同倫。設A⊂X,則A是X的強形變收縮核的充要條件是:存在收縮映射(保核收縮)r:X→A使得ir≃id:X→XrelA,其中i:A→X為內射。
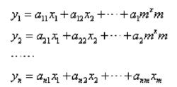
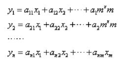
線性變換
未知數的線性變換,是一組(m個)未知數,x,…,x到另一組(n個)未知數y1,y,…,yn的一個變換,使得新未知數用原未知數線性地表出:
同倫運算元其中係數a(i=1,2,…n,j=1,2,…,m)為常數。例如,歐氏空間中的旋轉,是一種線性變換。
更一般地,設L是線性空間的一個把向量X、X分別變換為向量Y,Y2的變換,若在變換L下,線性組合aX+aX2變換為aY1+aY2,則稱變換L為線性變換。
微分流形
設M是仿緊豪斯道夫 (Hau-sdorff)空間,且是拓撲流形,稱A= {(U,Ф)|α∈P}是它的地圖,如果{U|α∈P}是M的開覆蓋,Ф是從U到n維歐氏空間R的某開集上的同胚。(U,Φ)稱為坐標卡。如果兩個坐標卡 (U,Ф),(Uβ,Φ) 滿足U∩U≠Φ,則稱Φ·Ф :Φ(U∩U) →Φ(U∩U) 和Φ·Φ : Φβ(U∩U) →Ф(U∩U) 為U∩U上的坐標變換。如果A的所有坐標變換都是C 可微的,則稱A為一個C 地圖,其中1≤r≤∞。r也可等於ω,此時A稱為解析地圖。拓撲流形M的坐標卡 (U,Φ) 稱為與A是C 相容的,如果任意(U,Φ) ∈A,坐標變換Φ·Φ Φ·Φ 均C可微。拓撲流形M的C 地圖A稱為最大的,如果它包含M的所有與之C 相容的坐標卡。M上的最大C 地圖A稱為M的C 微分結構。(M,A)稱為C 微分流形,或簡稱為C 流形。當r=∞時,C 微分結構也稱為光滑結構,C 流形也稱為光滑流形。r=ω時,C 結構也稱為解析結構,C 流形稱為解析流形。C 流形(M,A)有時也簡記為M。
從直觀上看,拓撲流形是局部歐氏空間,局部之間用同胚映射(坐標變換)貼上在一起。n維C 流形,不僅局部同胚於n維歐氏空間,而且局部之間是用C 光滑、且其逆也C 光滑的坐標變換貼上在一起。
兩個C 流形M和N,f:M→N是連續映射,且任一點P∈M,有包含P點的M中的坐標卡(U,Φ)以及包含f(P)的N中的坐標卡(V,φ),使得f(U)⊂V,同時,映射φ°f°Φ:Φ(U)→φ(V)是C 光滑的(1≤r≤∞或r=ω),則稱f是C 映射。C 映射也稱為光滑映射,C 映射也稱為解析映射。其中φ f φ 稱為f的局部表示。
C 流形M和N之間的同胚f:M→N,如果f和f 均是C 映射,則稱f是C 微分同胚。
(M,A)是C 微分流形,A是C 結構,若1≤r≤s≤∞,則A中包含M的C 結構A′。且此Cs微分結構A′在相差一個C 微分同胚的意義下是唯一的,此時我們稱A與A′相容。此結果歸功於惠特尼。同樣,一個C結構也允許相容的實解析結構。這就是說當1≤r<s≤∞時C 流形與C 流形無本質區別,特別地C 流形與C 流形無本質區別。但如果我們把不存在微分結構的拓撲流形稱為C流形,則C 流形與C 流形有本質區別。存在不允許任何微分結構的拓撲流形,這樣的流形維數最小是四維,已經知道的例子是八維的。
一個拓撲流形M如果存在兩個C 微分結構A與A′,使微分流形(M,A)與(M,A′)不是C 微分同胚的,則稱A與A′相異。米爾諾(Milnor)證明七維球S 存在多個相異的C 微分結構。這種與普通球S同胚,但不是C 微分同胚的C 微分流形稱之為怪球。在討論這類問題過程中的一個重要有趣的問題是:“一個光滑流形M,使得M-{P}可縮,其中P是M中任一點,能否引出M同胚於一個球?”對於M的維數n,當n=0,1,2時,M微分同胚於n維球S;當n=3時,歸結為龐加萊猜想;n=4時也未解決;n≥5時,問題結論成立。
微分流形與組合流形的關係,即C剖分與光滑化問題。給n維C 流形(1≤r≤∞)的一個單純剖分(k,f) (f:|k|→M是同胚)滿足:(1)對於|k|的每個閉n單形σ,f|σ是C 映射。(2)f|σ的雅可比矩陣的秩在每點均是n,則稱(k,f)是M的C 剖分,也稱M的C 結構與剖分(k,f)是C 相容的。有下面結果:(1)每個C 流形均具有C 剖分,且邊緣的C 剖分可擴張為整個C 流形的Cr剖分。(2)對於C 流形M的C 剖分(k,f),已剖分的空間(k,f,M)是組合流形。(3)對於同一C 流形M的兩個不同的C 剖分(k,f)和(k,f),(k,f,M)和(k,f,M)組合等價。
反之,如果對於組合流形M,存在M上的微分結構,使剖分(k,i) (其中i:|k|→M是恆等映射)是Cr相容的,則稱之為M的光滑化。現已證明,對於n≤7時,任意n維組合流形可光滑化。
