形式定義
半連續性
半連續性
半連續性
半連續性
半連續性
半連續性
半連續性
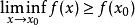
半連續性設 為拓撲空間, 而為實值函式。若對每個 ε > 0 都存在的開鄰域使得 ,則稱在上半連續。該條件也可以用上極限等價地表述:
半連續性
半連續性
半連續性若在上的每一點都是上半連續,則稱之為上半連續函式。
半連續性
半連續性
半連續性
半連續性
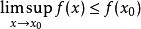
半連續性下半連續性可以準此定義:若對每個 ε > 0 都存在的開鄰域使得,則稱在下半連續。用下極限等價地表述為:
半連續性
半連續性
半連續性若在上的每一點都是下半連續,則稱之為 下半連續函式。
半連續性
半連續性
半連續性拓撲基賦予實數線較粗的拓撲,上半連續函式可以詮釋為此拓撲下的連續函式。若取基為,則得到下半連續函式。
例子
考慮函式
半連續性
半連續性此函式在上半連續,而非下半連續。
半連續性
半連續性下整數函式處處皆上半連續。同理,上整數函式處處皆下半連續。
圖1 上半連續函式的例子
圖2 下半連續函式的例子性質
一個函式在一點連續的充要條件是它在該點既上半連續也下半連續。
半連續性
半連續性
半連續性
半連續性
半連續性若在某一 點上半連續,則亦然;若兩者皆非負,則在該點也是上半連續。若在一點上半連續,則在該點下半連續,反之亦然。
半連續性若為緊集(例如閉區間),則其上的上半連續函式必取到極大值,而下半連續函式必取到極小值。
半連續性
半連續性設為下半連續函式序列,而且對所有有
半連續性
半連續性則是下半連續函式。
開集的指示函式為下半連續函式,閉集的指示函式為上半連續函式。
