簡介
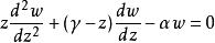
匯合型超幾何函式(confluent hypergeometric function)是匯合型超幾何方程的基本解。匯合型超幾何方程的標準形式為
匯合型超幾何函式在超幾何方程中作代換 t=z/b,並令 b=β→∞(其結果是使超幾何方程的兩個奇點 t=1及∞“會合”)即得。
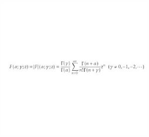
而匯合型超幾何函式即函式
匯合型超幾何函式
匯合型超幾何函式
匯合型超幾何函式
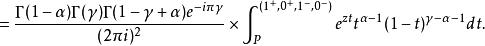
匯合型超幾何函式其中的積分路線稱為波赫哈默爾圍道(見右圖),起點P在實軸上,arg t=arg(1-t)=0,分別繞t=1和t=0正向一周后,再分別繞t=1和t=0逆向一周,最後回到P點。
匯合型超幾何函式
匯合型超幾何函式是的單值解析函式。
匯合型超幾何函式即庫默爾函式。
德國數學家庫默爾
庫默爾在數論、幾何學、函式論、數學分析、方程論等方面都有較大的貢獻,但最主要的是在函式論、數論和幾何三個方面。
在函式論方面。他研究了超幾何級數,首次對這些級數的單值群的代換進行計算。他發明的級數變換法是相當有名的,在級數的數值計算中有廣泛的套用。
在幾何方面。他研究了一般射線系統,並用純代數方法構作了一個四次曲面,它有16個孤立的二重點,16個奇異切平面,稱之為庫默爾曲面。
在數論方面。庫默爾花的時間最多,貢獻也最大。他研究過高斯(Gauss,Carl Friedrich,1777.4.30-1855.2.23)研究過的高次互反律,研究了數論中最困難的問題之一—費馬大定理,創立了甚至比定理本身更重要的理想數理論。這不僅使得他的證明工作取得了空前的進展(除p=37、59、67外,證明了費馬大定理當p﹤100時都成立),而且為代數學、函式論、方程論等學科提供了一個新的有效工具。這項成果因此而獲得巴黎科學院獎金。在庫默爾理想數理論的基礎上,戴德金(Dedekind,Julius Wilhelm Richard Dedekind,1831.10.6-1916.2.12)創立了一般理想理論。庫默爾的學說經戴德金和克羅內克(Kronecker,Leopold,1823.12.7-1891.12.29)的研究加以發展,建立了現代的代數數理論。
庫默爾還是一個優秀的教師。一直熱心教師之職將近20年。培養了不少數學家,其中最著名的有L.克羅內克、H.A.施瓦茨(Hermann Amandus Schwarz,1843.1.25-1921.11.30)、P.A.哥爾丹(Gordan,Paul Albert,1837.4.27-1912.12.21)等。
庫默爾全集在1975年才由施普林格出版社出版,由著名數學家A.韋伊(Weil,Andre,1906.5.6-1998.8.6)編輯,共兩卷。韋伊在全集導言中說:“即使100年後,細心的讀者仍會從中獲得可觀的教益”。

