具體內容
定義
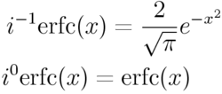
誤差函式且有erf(∞)=1和erf(-x)=-erf(x)。
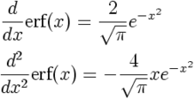
誤差函式導數與積分
誤差函式的導數為:
誤差函式等等
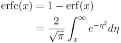
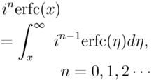
誤差函式的重積分定義為:
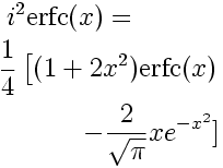
誤差函式且
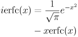
誤差函式可得
誤差函式
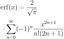
誤差函式級數展開式
誤差函式的級數展開式為:
誤差函式套用
高斯函式的不定積分是誤差函式。在自然科學、社會科學、數學以及工程學等領域都有高斯函式的身影,這方面的例子包括:
在統計學與機率論中,高斯函式是常態分布的密度函式,根據中心極限定理它是複雜總和的有限機率分布。
高斯函式是量子諧振子基態的波函式。
計算化學中所用的分子軌道是名為高斯軌道的高斯函式的線性組合(參見量子化學中的基組)。
在數學領域,高斯函式在厄爾米特多項式的定義中起著重要作用。
高斯函式與量子場論中的真空態相關。
在光學以及微波系統中有高斯波束的套用。
高斯函式在圖像處理中用作預平滑核。

