引入
在進行假設檢時,我們要確立原假設和備擇假設,為了選擇哪種假設,我們規定了拒絕域。如果樣本落在拒絕域內,我們拒絕原假設,接受備擇假設,否則接受原假設。這樣我們在套用某種檢驗做判斷時,可能會犯如下兩種錯誤:原假設是對的,我們卻拒絕了原假設,這稱為第一類錯誤;相反,原假設是錯的,我們卻接受了原假設,這稱為第二類錯誤。 在檢驗中我們希望犯兩類錯誤的機率都儘可能地小,但實際上我們做不到這一點,為了說明原因,我們需要引進功效函式這一概念。
定義
功效函式
功效函式設某檢驗問題的拒絕域為 W,則樣本觀測值 X落在拒絕域 W內的機率稱為該檢驗的功效函式,記為,為原假設和備擇假設中的參數。
性質
功效函式
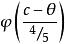
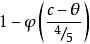
功效函式當原假設成立時,犯第一類錯誤的機率就等於。當備擇假設成立時,犯第二類錯誤的機率就等於。
下面我們通過一個例子來說明我們無法使一個檢驗犯第一類、第二類錯誤的機率同時減少。
功效函式
功效函式
功效函式
功效函式
功效函式
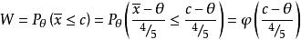
功效函式某廠生產的合金強度服從常態分配,其中的設計值為不低於110。為保證質量,該廠每天都要對生產情況做例行檢查,以判斷生產是否正常進行,即該合金的平均強度不低於110。某天從生產的產品中隨機抽取25塊合金,測得其強度值為,均值為,問當日生產是否正常。
功效函式對於本例,其拒絕域為
勢函式
功效函式
功效函式
功效函式注意到這個功效函式是的減函式,如右圖利用這個功效函式易得犯兩類錯誤的機率分別為(原假設成立),(備擇假設成立)。
由此可以得出犯兩類錯誤的機率之間的關係:
1、當第一類錯誤的機率減少時, c隨之減小,而 c的減小必導致犯第二類錯誤的機率增大。
2、當第二類錯誤的機率減少時, c隨之增大,而 c的增大必導致犯第一類錯誤的機率增大。
這一現象說明:兩類錯誤的一個減小必導致另一個的增大。

