簡介
一致最大功效檢驗(uniformly most powerful test)亦稱一致最強檢驗。簡稱UMP,一種水平a檢驗。
在統計假設檢驗中,一致最大功效檢驗(UMP)是在給定大小α的所有可能測試中具有最大冪β的假設檢驗。 例如,根據奈曼 - 皮爾森引理,似然比檢驗是測試簡單(點)假設的一致最大功效檢驗。
設定
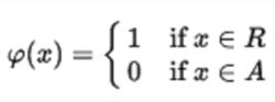
一致最大功效檢驗讓X表示從機率密度函式或機率質量函式的參數族中獲取的隨機向量(對應於測量) ,這取決於θ中未知的確定性參數。 參數空間θ被分成兩個不相交的集合θ和θ。 讓H表示θ中θ∈θ0的假設,並且H1表示θ1中θ∈θ1的假設。 假設的二進制測試使用測試函式φ(x)執行。
一致最大功效檢驗
一致最大功效檢驗
一致最大功效檢驗
一致最大功效檢驗這意味著 有效,H就有效,並且如果 有效,H0就有效。注意 是測量空間的不相交的覆蓋。
正式定義
一致最大功效檢驗一個測試函式φ(x)是大小為α的一致最大功效檢驗,對於任何其他測試函式 滿足
一致最大功效檢驗我們有
一致最大功效檢驗卡林魯賓定理
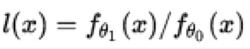
卡林魯賓定理可以被認為是尼曼 - 皮爾森引理對複合假說的延伸。考慮具有由標量參數θ參數化的機率密度函式的標量測量,並定義似然比
一致最大功效檢驗如果 l(x)單調不減少,則在x中,對於任何對θ>θ0(意味著x越大,H的可能性越大),則閾值測試:
一致最大功效檢驗其中x被選擇為使得
一致最大功效檢驗是測試尺寸α的一致最大功效檢驗測試H0:θ≤θ0,H1:θ>θ0。
請注意,完全相同的測試也是一致最大功效檢驗用於測試H0:θ=θ0,H1:θ>θ0。
重要案例:指數族
儘管由於對標量參數和標量測量的限制,卡林 - 魯賓定理可能看起來很弱,但事實證明存在許多問題。 特別地,具有機率密度函式或機率質量函式的一維指數族,
一致最大功效檢驗在足夠的統計量T(x)中具有單調非遞減似然比。
舉例
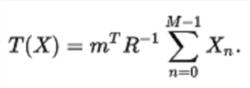
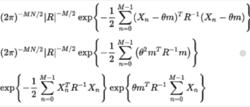
一致最大功效檢驗讓X={X0,X1......Xn}表示常態分配 N維隨機向量與平均值θ和協方差矩陣R ,則為
一致最大功效檢驗這正是前面部分所示的指數族的形式,具有足夠的統計量,
一致最大功效檢驗因此,我們得出結論,
一致最大功效檢驗是測試尺寸α的一致最大功效檢驗測試H0:θ≤θ0,H1:θ>θ0。
