基本介紹
割集是連通圖G中某些支路的集合,若移去這些支路,則連通圖G被分成兩個部分。如果少移去其中的一條支路,圖仍然是連通的。
割集矩陣
割集矩陣
割集矩陣
割集矩陣
割集矩陣
割集矩陣割集矩陣是描述割集與支路的關聯關係的矩陣。設連通有向圖G有n個結點,b條支路,首先選單樹支割集為獨立割集(規定每個單樹枝割集的方向和樹枝方向相同),獨立割集數為n-1個,則割集矩陣為一個(n-1)×b階矩陣,用表示。割集矩陣的行和割集對應,列和支路對應,則割集與支路的關聯關係可用它的任一元素表示。取值的具體意義如下:
割集矩陣
割集矩陣
割集矩陣(1)表示割集與支路關聯,且方向一致。
割集矩陣
割集矩陣
割集矩陣(2),表示割集與支路關聯,方向相反。
割集矩陣
割集矩陣
割集矩陣(3),表示割集與支路不關聯 。
割集矩陣 | 割集矩陣 |
割集矩陣 | 割集矩陣 |
例如,表1(a)所示的獨立割集數為3,如圖1(b),圖1(c)和圖1(d)所示。其割集矩陣為
割集矩陣和基本迴路類似,如果割集矩陣的列序(割集順序)和樹支所對應基本割集的排序一致,則
割集矩陣
割集矩陣
割集矩陣
割集矩陣這樣的割集矩陣稱為 基本割集矩陣,用表示。若割集的方向和對應樹支的方向一致,則中將出現一個階的單位子矩陣,即
割集矩陣
割集矩陣式中,下標分別表示與樹支和連支對應的部分。在選定支路3、5、6為樹支,支路1、2、4為連支後,圖1,對應的基本割集矩陣為
割集矩陣用割集矩陣表示的KVL和KCL方程
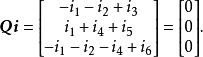
割集矩陣割集矩陣和關聯矩陣類似,若用矩陣左乘支路電流的列向量,有
割集矩陣即
割集矩陣
割集矩陣該式就是用表示的KCL的矩陣方程。
對於圖1(a)所示的圖,若所選獨立割集與圖1所示的相同,則
割集矩陣對於n個結點、b條支路的圖,設n-1個樹支電壓的列向量為
割集矩陣於是,各支路電壓可以用樹支電壓來表示,即
割集矩陣
割集矩陣
割集矩陣
割集矩陣式中為割集矩陣的轉置矩陣。可見,如果已知n-1個樹支電壓,則b條支路的電壓可以用樹支電壓表示,這是割集電壓法的基本思想。該式就是用矩陣表示的KVL的矩陣形式。
例如,圖1所示的支路電壓與其樹支電壓關係的矩陣表示為
割集矩陣由以上分析看出:
割集矩陣
割集矩陣(1) KCL和KVL既可以用 A矩陣和 B矩陣表示,同樣可以用矩陣表示。它們之間存在等效變換關係。當連通圖的 A矩陣、 B矩陣和矩陣的階次不同時,其KCL和KVL表示式的複雜程度也不同。
(2)KCL、KVL和電路的拓撲結構有關,這是集總元件電路公設的必然結果。對集總電路而言,無論其支路元件是線性的還是非線性的、時變的還是非時變的,基爾霍夫定律總是成立的。
(3)電路是由電路元件組成的。電能在電路中的實際分布不僅受KCL和KVL約束,也要受支路元件特性的約束。只有把元件約束(元件的伏安特性)與基爾霍夫定律相結合,才能確定電路元件上的能量分布,完成電路分析的任務 。

割集矩陣
割集矩陣
割集矩陣
割集矩陣 