定義
設A是環R的一個理想,若把A,R看作加群,這樣A是R的一個不變子群,且由A的陪集a+A=[a],b+ A=[b],..作成R的一個分類,這些類叫做模A的剩餘類。而所有這些類組成的集作成一個環,叫做模A的 剩餘類環,記作R/A。
比如,(n)是Z的一個理想,由(n)的陪集0+(n)=[0],1+(n)=[1],2+(n)=[2],...,n-1+(n)= [n-1]作成Z的一個分類,且集合{[0],[1],...,[n-1]}作成一個剩餘類環Z/(n),也就是Z。可見,一般的剩餘類環是模n的剩餘類環Z的推廣 。
實例分析
剩餘類環
剩餘類環
剩餘類環
剩餘類環
剩餘類環
剩餘類環
剩餘類環
剩餘類環
剩餘類環
剩餘類環
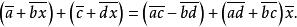
剩餘類環現在我們將給出剩餘類環這個重要概念的另一個實例。令F是一個實數域,並且考慮環F[x]中的理想n= (x +1),如果f(x)是F[x] 的任意元素,那么由除法變換我們有:f(x)=g(x)(x +1)+a+bx,此處a和b都是實數,因此,對模n的每一個剩餘類所包含的是零或者至多是一次的多項式,而且a+bx和c+dx在不同的剩餘類中,除非是a=c和b=d,因為除了在這種情況下,a+bx≡c+dx(n)是不可能的,這樣F[x}/n的不同元素的確就是剩餘類 由F[x]/n中加法和乘法的定義,我們看到 和 上面的第一式是明顯的,而第二式由觀察式:(a+bx)(c+dx)=ac-bd+(ad+bc)x+bd(x +1),所以(a+bx)(c+dx)=(ac-bd)+(ad+bc)x(n),讀者必須注意這些公式與複數的加法和乘法的普通規則的相似性——事實上,環F[x]/(x + 1) 就是複數域,除了使用的符號以外,實質上是相同的。另外一個實例可能是有趣的,令是一個整數環,而m是多項式環中的理想(2,x +x+1),利用前面例子的論證,以x +x+1代替x +1,可以看出,對模m的任一個剩餘類包含一個形如a+bx的元素,現在此處a和b都是整數,然而在這種情況下,m包含整數2,因而每一個整數對模m的同餘不是0就是1,因此剛好有4個剩餘類,就是 而且因為x(x+1)=1+(x +x+1)-2≡1(m),我們看到 所以的每一個非零元素有一個逆元,因此是一個域,這就是我們的第一個有限域的實例,它不是的形式,此處p是一個素數,事實上,可以證明,雖然我們省略這個證明,那就是對於適當選擇的理想m,則任何有限域都可以象剩餘類環一樣而得到 。
相關定理
定理1
剩餘類環
剩餘類環(環同態基本定理)設A是環R的一個理想,則R~R/A;反之,設環R與環同態,則同態映射的核A是R的一個理想,且。
剩餘類環
剩餘類環
剩餘類環
剩餘類環比如,整數環Z與模n的剩餘類環Z同態,即Z~Z反之,如是Z到Z的同態滿射,即,且的核A=(n),所以。
定理2
剩餘類環
剩餘類環若環~環,則
剩餘類環
剩餘類環①R的一個子環S的象是的一個子環;
剩餘類環
剩餘類環②R的一個理想A的象是的一個理想;
剩餘類環
剩餘類環③的一個子環的逆象S是R的一個子環;
剩餘類環
剩餘類環④的一個理想的逆象A是R的一個理想 。

