直線的表達形式
直線方程常用的表達形式主要有點斜式、斜截式、兩點式和截距式。
點斜式(用於已知斜率和一點坐標)
兩點式斜截式(用於已知斜率和y軸截距)
兩點式兩點式(用於已知兩點坐標)
兩點式截距式(用於已知所有截距)
兩點式兩點式推導
兩點式
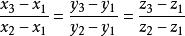
兩點式我們知道,通過兩不同點的直線有且只有一條。設兩個不同的點 決定唯一的一條直線 ,此時我們可以取該直線的方向向量
兩點式
兩點式從而直線 的方程可以表示為
兩點式此方程稱為直線的兩點式方程。
兩點式此式也可用行列式的形式表現為 。
兩點式
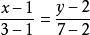
兩點式例如,過點 和 的直線方程可以用兩點式表示為:
兩點式適用範圍
兩點式
兩點式是不是已知任意直線上兩點就能用兩點式寫出直線方程呢?答案是否定的。當或時,直線方程不能用兩點式表示,因為此時兩點式的分母為0,方程無意義。即兩點式方程不能用來表示坐標軸或與坐標軸平行的直線。
套用
兩點式
兩點式利用兩點式方程,很容易得到三個點 在同一條直線上的充分必要條件是

