成份
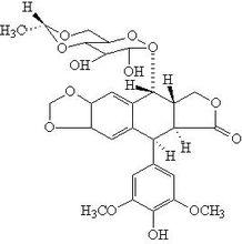
依託泊苷注射液本品主要成份為依託泊苷。其化學名稱為9-[4,6-O-(R)-亞乙基-β-D-吡喃葡萄糖苷]-4'-去甲基表鬼臼毒素。
其化學結構式:
分子式:CHO
分子量:588.56
其輔料為聚山梨酯-80,聚乙二醇-400,苯甲醇,枸櫞酸和無水乙醇。
性狀
本品為無色至淡黃色澄明液體。
規格
5ml:0.1g
用法用量
靜脈滴注。將本品需用量用氯化鈉注射液稀釋,濃度每毫升不超過0.25mg,靜脈滴注時間不少於30分鐘。實體瘤:一日60~100mg/m[sup]2[/sup],連續3~5天,每隔3~4周重複用藥。白血病:一日60~100mg/m[sup]2[/sup],連續5天,根據血象情況,間隔一定時間重複給藥。小兒常用量:靜脈滴注每日按體表面積100~150mg/m[sup]2[/sup],連用3~4日。
不良反應
1. 可逆性的骨髓抑制,包括白細胞及血小板減少,多發生在用藥後7~14日,20日左右後恢復正常。
2. 食慾減退、噁心、嘔吐、口腔炎等消化道反應,脫髮亦常見。
3. 若靜脈滴注過速([30分鐘),可有低血壓,喉痙攣等過敏反應。
禁忌
1. 骨髓抑制,白細胞、血小板明顯低下者禁用。
2. 心、肝腎功能有嚴重障礙者禁用。
3. 孕婦禁用
4.本品含苯甲醇,禁止用於兒童肌內注射。
注意事項
1. 本品不宜靜脈推注,靜滴時速度不得過快,至少半小時,否則容易引起低血壓,喉 痙攣等過敏反應。
2. 不得作胸腔、腹腔和鞘內注射。
3. 本品在動物中有生殖毒性及致畸,並可經乳汁排泄,孕婦及哺乳期婦女慎用。
4. 用藥期間應定期檢查周圍血象和肝腎功能。
5. 本品稀釋後立即使用,若有沉澱產生嚴禁使用。
孕婦及哺乳期婦女用藥
1. 孕婦禁用。
2. 哺乳期婦女慎用。
兒童用藥
本品含苯甲醇,禁止用於兒童肌內注射。
老年用藥
未進行該項實驗且無可靠參考文獻。
藥物相互作用
1. 由於本品有明顯骨髓抑制作用,與其他抗腫瘤藥物聯合套用時應注意。
2. 本品可抑制機體免疫防禦機制,使疫苗接種不能激發人體抗體產生。
3. 化療結束後3個月以內,不宜接種病毒疫苗。
4. 本品與血漿蛋白結合率高,因此,與其它血漿蛋白結合的藥物可影響本品排泄。
藥物過量
未進行該項實驗且無可靠參考文獻。
藥理毒理
本品為細胞周期特異性抗腫瘤藥物,作用於DNA拓撲異構酶II,形成藥物-酶-DNA穩定的可逆性複合物,阻礙DNA修復。實驗發現這複合物可隨藥物的清除而逆轉,使損傷的DNA得到修復,降低了細胞毒作用。因此,延長藥物的給藥時間,可能提高抗腫瘤活性。
藥代動力學
人體血藥濃度的半衰期(t)為7小時(3~12小時)。97%與血漿蛋白結合。由於本品與拓撲異構酶II的結合是可逆的,並作用於細胞周期中持續時間較長的S期及G期,因此血藥濃度持續時間長短比峰濃度高低更重要,一般採用靜脈滴注,而不用靜脈推注。44%~60%由腎排泄(其中67%以原形排泄)。糞便排泄僅占16%。腦脊液中的濃度(給藥2~20小時後)為血藥濃度的1%~10%。
貯藏
遮光,密閉保存。
包裝
西林瓶, 5瓶/盒。
有效期
24個月
執行標準
《中國藥典》2010年版二部

