概念
仿射球面(affine hypersurface)是一個重要的超曲面。指仿射空間中仿射法線交於一點或互相平行非退化的超曲面。一個局部嚴格凸的仿射球稱為虛的或拋物型的仿射球面,若它的仿射法線互相平行。它稱為一個真仿射球面,若它的仿射法線交於一點,稱交點為它的仿射中心。真仿射球又依仿射中心位於曲面凹的一側或凸的一側,分別稱為橢圓型的或雙曲型的仿射球面。三維仿射空間A中的橢球面、雙葉雙曲面和橢圓拋物面分別是橢圓型、雙曲型和拋物型仿射球面的例子。
詳細介紹
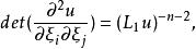
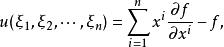
設(x ,x ,…,x )是n+1維仿射空間A中的坐標,A中的局部嚴格凸超曲面,局部上可表示為:x =f(x ,x ,…,x ),其中f是由定義在A中某個開集上的嚴格凸的可微函式。M是拋物型仿射球面的充分必要條件為f滿足以下蒙日-安培方程:
仿射球面M是橢圓型或雙曲型仿射球面的充分必要條件為f的勒讓德變換函式:
仿射球面
仿射球面滿足:
仿射球面其中L為仿射平均曲率,它為常數.歐氏曲面論中法線交於一點或互相平行的曲面中有球面和平面兩種,而仿射球面則廣泛得多。因此,對仿射球面的分類是基本的、重要的.關於布拉施克度量完備的局部嚴格凸仿射球面的整體分類始於布拉施克(Blaschke,W.J.E.),他於1923年證明:一個緊緻無邊的2維球面一定是橢球面.後來,戴克(Deicke,A.)於1953年把這個結果推廣到了高維。因為完備的橢圓型仿射球面一定是緊緻無邊的,他們實際上完成了對完備橢圓型仿射球面的分類。對完備拋物型仿射球面的分類是卡拉比(Calabi,E.)完成的,他於1958年證明:一個完備的拋物型仿射球面一定是橢圓拋物面。完備的雙曲型仿射球面是迷人的,它不必是二次超曲面,例如,由xx…x=1確定的超曲面,卡拉比曾構造出許多別的例子,並於1971年提出猜測:A中每個完備的雙曲型仿射球面漸近於A中某個凸錐的邊界;反之,任給一個負常數和A中一個非退化的凸錐,A中有惟一一個完備的雙曲型仿射球面漸近於所給凸錐的邊界,並以所給常數為仿射平均曲率。這個猜測,經過卡拉比、丘成桐、鄭紹遠、佐佐木(Sasaki,T.)等數學家的努力,直到1990年才被李安民徹底解決,從而完成了完備局部嚴格凸仿射球面的整體分類。關於布拉施克度量為常截面曲率的仿射球面的局部分類於1990年由弗航肯(Vrancken,L.)、李安民、西蒙(Simon,U.)完成。這類仿射球面局部地為橢球面(正截面曲率)、雙曲面(負截面曲率)、橢圓拋物面和由xx…x=1定義的超曲面(零截面曲率)。對仿射球面的研究,自然地引出以下方程問題:蒙日-安培方程(*)的定義在整個A上的凸解f是二次多項式嗎?或等價地,f的圖是橢圓拋物面嗎?答案是肯定的.n=2是約根斯(Jo¨rgens,K.)於1954年證明的;n≤5是卡拉比於1958年證明的;任意的n是波戈列洛夫(Погорелов,А.В.)於1972年證明的。
超曲面
超曲面(英語:hypersurface)是幾何中超平面概念的一種推廣。假設存在一個n維流形M,則M的任一(n-1)維子流形即是一個超曲面。或者可以說,超曲面的余維數為1。
在代數幾何中,超曲面是指n維射影空間上的一個(n-1)維的代數集。它可由方程F=0來定義,其中F是齊次坐標下的一個齊次多項式。由於可能存在奇點,嚴格地說這並不是一個子流形。
仿射球面
仿射球面在數學中, 超平面(Hyperplane)是維歐氏空間中余維度等於的線性子空間。這是平面中的直線、空間中的平面之推廣。
仿射球面
仿射球面設為域(為初等起見,可考慮)。n 維空間{\displaystyle F^{n}}中的超平面是由方程
仿射球面
仿射球面定義的子集,其中是不全為零的常數。
仿射球面
仿射球面線上性代數的脈絡下,-矢量空間中的超平面是指形如
仿射球面
仿射球面的子空間,其中是任一非零的線性映射。
仿射球面
仿射球面在射影幾何中,同樣可定義射影空間中的超平面。在齊次坐標下,超平面可由以下方程定義
仿射球面
仿射球面其中是不全為零的常數。
射影幾何
在數學裡, 射影幾何(projective geometry)研究在射影變換下不變的幾何性質。與初等幾何不同,射影幾何有不同的設定、射影空間及一套基本幾何概念。直覺上,在一特定維度上,射影空間比歐氏空間擁有“更多”的點,且允許透過幾何變換將這些額外的點(稱之為無窮遠點)轉換成傳統的點,反之亦然。
射影幾何中有意義的性質均與新的變換概念有關,此一變換比透過變換矩陣或平移(仿射變換)表示的變換更為基礎。對幾何學家來說,第一個問題是要找到一個足以描述這個新的想法的幾何語言。不可能在射影幾何內談論角,如同在歐氏幾何內談論一般,因為角並不是個在射影變換下不變的概念,如在透視圖中所清楚看到的一般。射影幾何的許多想法來源來自於對透視圖的理論研究。另一個與初等幾何不同之處在於,平行線可被認為會在無窮遠點上交會,一旦此一概念被轉換成射影幾何的辭彙之後。這個概念在直觀上,正如同在透視圖上會看到鐵軌在水平線上交會一般。
雖然這些想法很早以前便已存在,但射影幾何的發展主要還是到19世紀才開始。大量的研究使得射影幾何變成那時幾何的代表學科。當使用複數的坐標(齊次坐標)時,即為研究復射影空間之理論。一些更抽象的數學(包括不變數理論、代數幾何義大利學派,以及菲利克斯·克萊因那導致古典群誕生的愛爾蘭根綱領)都建立在射影幾何之上。此一學科亦吸引了許多學者,在綜合幾何的旗幟之下。另一個從射影幾何之公理化研究誕生的領域為有限幾何。
射影幾何的領域又可細分成許多的研究領域,其中的兩個例子為射影代數幾何(研究射影簇)及射影微分幾何(研究射影變換的微分不變數)。

