基本介紹
互反函式
互反函式
互反函式在數學中,有好些運算是互逆的。加和減,乘和除,乘方和開方,都屬於這一類。一個自變數x,在經過一種運算之後得到y,再對這y進行相應的逆運算,結果是仍回到x。例如,以a乘x,得y =ax,將這y除以a,又得x,又如,將x平方,得再對y開平方,又得x。今以表示前一運算,以表示其逆運算,則上述關係可表示如下:
互反函式
互反函式
互反函式
互反函式
互反函式
互反函式將寫在後的方括弧內,就表示內的那個變數y當用代入。例如,它們就符合上述條件,理由是:
互反函式
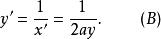
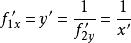
互反函式從的組成上看,它也是一種複合函式。對式(1)兩側求導,當有:
互反函式
互反函式
互反函式式中:——對y的導數;
互反函式
互反函式——對x的導數;
1——x對x的導數。
互反函式
互反函式
互反函式
互反函式
互反函式
互反函式
互反函式
互反函式
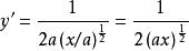
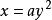
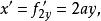
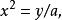
互反函式在式(1)中,一個運算是用將x變成y,另一個運算是用將y變成x,在這條件下,和實際上是同一個方程,它們的圖形也是同一條曲線。以和為例,將後一式平方,得移除作乘,就得前一式。由此可見,若某個方程按對y求導要比對x求導方便,其切線的斜率y' (式(2)中的) 也可用x' (式(2)中的) 的倒數表示;即:
互反函式
互反函式
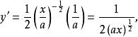
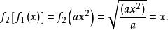
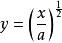
互反函式例如,所給的式子是則於是,
互反函式
互反函式
互反函式
互反函式
互反函式
互反函式若將代人,。而在將化為再求導時,結果是相符的。但用式(B)來表示y',時常較為簡捷。
互反函式
互反函式
互反函式
互反函式
互反函式
互反函式
互反函式
互反函式
互反函式
互反函式
互反函式
互反函式既然和在圖上是同一條線,那就容易混淆。又因是表示將作為內的變數代人,至於內的變數原先是用什麼字母來代表,那卻沒有多大關係。因此,常改作這也就是將原給的內的x和y對換,而後變形為。這樣的和就叫 互反函式 。
冪函式的反函式
利用互反函式的這一對稱性質來看冪函式,將見:
互反函式
互反函式
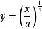
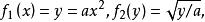
互反函式(1) 每一個冪函式的反函式仍是一個冪函式,因此,冪函式組成一個自反的函式族。這就是說,的反函式是(且後式也可寫作),而它們都是冪函式。
互反函式(2)指數是真分數的冪函式,它的反函式(也是冪函的指數就大於1(是原來那個真分數的倒數)。由於指數大於1的冪函式的描點製圖較易進行,可以先將反函式圖形作出,再利用原函式和反函式對直線的對稱,原函式作出 。

