定義
二次非剩餘
二次非剩餘
二次非剩餘
二次非剩餘
二次非剩餘在數論中,特別在同餘理論里,一個整數 對另一個整數 的 二次剩餘(英語:Quadratic residue)指 的平方除以 得到的餘數。
二次非剩餘
二次非剩餘
二次非剩餘
二次非剩餘當存在某個 ,式子 成立時,稱 是模 的 二次剩餘 ”
二次非剩餘
二次非剩餘
二次非剩餘
二次非剩餘當對任意 , 不成立時,稱 “是模 的 二次非剩餘 ”
研究二次剩餘的理論稱為 二次剩餘理論。二次剩餘理論在實際上有廣泛的套用,包括從噪音工程學到密碼學以及大數分解。
研究歷史以及基本概念
從17世紀到18世紀,費馬、歐拉、拉格朗日和勒讓德等數論學家對二次剩餘理論作了初步的研究,證明了一些定理並作出了一些相關的猜想,但首先對二次剩餘進行有系統的研究的數學家是高斯。他在著作《算術研究》( Disquisitiones Arithmeticae,1801年)中首次引入了術語“二次剩餘”與“二次非剩餘”,並聲明在不至於導致混淆的行文中,可以省略“二次”兩字 。
基本結論
質數二次非剩餘
對於質數2,每個整數都是它的二次剩餘。
二次非剩餘以下討論 是奇質數的情況:
二次非剩餘
二次非剩餘
二次非剩餘
二次非剩餘
二次非剩餘
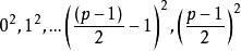
二次非剩餘對於 , 而言,能滿足“ 是模 的二次剩餘”的 共有 個(剩餘類),分別為:
二次非剩餘(0計算在內)
二次非剩餘
二次非剩餘此外是 個 二次非剩餘。但在很多情況下,我們只考慮乘法群 Z/pZ,因此不將0包括在內。這樣,每個二次剩餘的乘法逆元仍然是二次剩餘;二次非剩餘的乘法逆元仍然是 二次非剩餘。二次剩餘的個數與 二次非剩餘的個數相等,都是 。此外,兩個二次非剩餘的乘積是二次剩餘,二次剩餘和 二次非剩餘的乘積是 二次非剩餘。
二次非剩餘
二次非剩餘
二次非剩餘
二次非剩餘套用二次互反律可以知道,當 模4餘1時,-1是 的二次剩餘;如果 模4餘3,那么,-1是 的 二次非剩餘。
要知道d是否為模p的二次剩餘,可以運用歐拉判別法(或叫歐拉準則)。
合數二次非剩餘
首先可以看出,
如果a是模n的剩餘,並且p整除n,那么a是模p的剩餘。
如果a是模n的非剩餘,那么存在p整除n,使得a是模p的非剩餘。
對於模合數的情況,兩個剩餘的乘積仍然是剩餘,剩餘和非剩餘的乘積必為非剩餘,但是兩個非剩餘的乘積則可能是剩餘、非剩餘或0。
比如,對於模15的情況
1, 2, 3,4, 5,6, 7, 8,9,10, 11, 12, 13, 14(粗斜體為二次剩餘)。
兩個二次非剩餘2和8的乘積是二次剩餘1,但另外兩個二次非剩餘2和7的乘積是二次非剩餘14。
相關記號
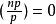
高斯使用 R和 N來分別表示二次剩餘及二次非剩餘。例如:2 R 7,5 N 7,並且1 和5 R 8,3和7 N 8。儘管這種記號在某些方面來說十分簡潔,但現今最常用的是勒讓德符號,或稱二次特徵(見狄利克雷特徵)。對於整數 a及奇質數 p,
二次非剩餘 | 如果p整除a; |
| 如果a是模p的二次剩餘且p不整除a | |
| 如果a是模p的二次非剩餘。 |
二次非剩餘之所以將0另分一類有兩個原因。首先,這使公式和定理敘述方便。其次,二次特徵是一個從乘法群 Z/pZ射到複數域的群同態,可以將這個同態擴張到整數構成的乘法半群。
相比高斯的記號,勒讓德符號的優勢在於可以寫在公式里(作為一個數字值)。此外勒讓德符號可以推廣到三次以至高次剩餘。
二次非剩餘
二次非剩餘
二次非剩餘勒讓德符號中的分母只限奇質數,對於一般的合數,有推廣的雅可比符號。雅可比符號的性質比前者複雜。如果 a R m那么,如果那么 a N m。但如果,我們不能知道 a R m還是 a N m 。
二次非剩餘 