整式方程
二次方程二次方程是一種整式方程,其未知項的最高次數是2。
如果一個二次方程只含有一個未知數(x),那么就稱其為一元二次方程。
如果一個二次方程含有二個未知數(x和y),那么就稱其為二元二次方程,以此類推。
二次方程二次方程中最常見的是一元二次方程。它的基本表達式為:
(a≠0)。其中a為方程的二次項係數,b為一次項係數,c為常數。若a = 0,則該方程沒有二次項,即變為一次方程。
一元二次方程的根
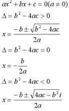
二次方程的求根公式⑴若
,無實數根,有兩個複數根:x1=[-b+i√(4ac-b^2)]/(2a) , x2=[-b-i√(4ac-b^2)]/(2a);
二次方程⑵若
,有兩個相等實根:
;
二次方程⑶若
,有兩個不等實根:
,
。
二次方程公式可以歸納為如下形式:
二次方程其中
稱為根的判別式,常記為△。
推導過程:
移項,化二次項係數為1,得
x^2+b/ax=-c/a
兩邊同時加(b/(2a))^2,得
(x+b/(2a))^2=(b^2-4ac)/(4a^2)
x=[-b±√(b^2-4ac)]/(2a)
還可以令x=y-b/(2a),代入後消去一次項,得y^2=(b^2-4ac)/(4a^2),再減去b/(2a)
韋達定理
二次方程對於一元二次方程
,有
,
二次方程特殊地,當二次項係數為1,即
時,

